|
APPLICATION It can be utilized in premixed & pumpable concrete, commercial ready-mixed concrete, bulky concrete, armored boncrete and auto-flowable and self-sealing concrete ete. PROPERTIES.FEATURES&CHARACTERISTICS 1、Appearance: Light brown powder or dark brown aqueous solution .Anti-freezer can be added when construction is launched below zero cegree C. 2、Stable chemical performan ces are refleeted by its properties of being non-poisonous, odorless and non-inflammable. No crystallization occurs in winter. 3、Water reduction exceeds 22%as a condition of blending where C80 r lower grade concrete is prepared. 4、Freedom from chloride interference makes it possible that little shrinkage occurs. 5、Good retardation will be enerated to reduce premature hydration heat. Initial setting duration can be extended to 10 hours. Alternatively make adjustments according to customers′ requirements. Zero water penetration and segregation, and good moisture insulation are obvious characteristics. Gas cannot be exhausted in 2 hours so that its anti-bending ability, modulus of elasticity, water proof and anti-infiltration will be correspondingly improved. 6、Compatible with varieties of cement. Preferably blended with superfine mineral blending materials. PARAMETERS&ACCEPTANCE CRITERIA(FOR REFERENCE)
|
Parameters/Parameters
|
Criteria |
Actual Results |
Parameters
|
Criteria |
Actual Results |
|
Collapsibility acceleration,%
|
≥100 |
122 |
Water penetration,%
|
≤90 |
78 |
|
Collapsibility retention, mm
|
30min |
≥150 |
197 |
Corrosiveness
|
None |
None |
|
60min |
≥120 |
182 |
Compression strength,% |
3d |
≥90 |
118.5 |
|
Temporal distribution for setting(min) |
Initial setting time |
— |
+235 |
7d |
≥90 |
134.0 |
|
Terminal Setting time |
— |
+240 |
Shrinkage,% |
28d |
≥90 |
122.3
|
|
Air content,%
|
≤4.5 |
2.1 |
28d |
≤135 |
105 |
|
Note: Standard Blend Dosage:0.75% for powder (as cement amount);1.8%for liquid(as cement amount)
| RECOMMENDED BLEND DOSAGE
|
GRADE (Pumpable)
|
Use Level |
Blend ratio of externally applied agent(Liquid),%
|
|
C(32.5) |
C(42.5) |
F |
CF |
W |
S |
G |
|
C20 |
284 |
— |
70 |
— |
195 |
792 |
1009 |
0.8~1.0 |
|
C30 |
338 |
— |
84 |
— |
190 |
734 |
1014 |
1.1~1.3 |
|
C40 |
— |
336 |
84 |
— |
180 |
712 |
1068 |
1.4~1.6 |
|
C50 |
— |
389 |
97 |
— |
180 |
695 |
1039 |
1.7~1.9 |
|
C60 |
— |
424 |
106 |
— |
170 |
710 |
1000 |
2.0~2.2 |
|
C70 |
— |
370 |
85 |
114 |
165 |
675 |
1011 |
2.3~2.5 |
|
C80 |
— |
416 |
96 |
128 |
160 |
652 |
978 |
2.6~2.8 |
The above blend dossage is recommended for reference. Proper adjustments should be made accordingly. Keep direct contact with manufacturer when C50 or concrete of higher index is readily prepared. DJRECTIONS 1、The powdery agent can be applied to concrete directly or prepared accordingly and diluted to different concentration levels. The liquid agent can be blended straight with concrete. 2、 In case of combination with expansion agent an extra 30-second agitation is required. PACKING,TRANSPORTATION AND STORAGE 1、For powder: Woven bag with plastic liner.Net weight: 25kg 0.13 or 50kg 0.25For liquid: Sealed plastic drums to prevent accidental leakage and evaporation. The material can be delivered or transported by tank car. 2、Cautions should be taken to prevent from being torn by sharp-ended objects while packages are transferred or delivered. When being contaminated by high humidity or moisture in case of leakage. it can be prepared in prescribed ways for further use without surrendering any effect 3、It should be stored in a dedicated warehouse that is well-ventilated and dry. It remains effective for one year. At the expiration, it can be used again if the testing results fall within the established range.
[ 應用實例 1]
商品混凝土具有加速施工進度、減少環境污染、提高工程質量和節約材料成本等優點,在很多城市都得到了迅速的發展。商品混凝土做為建筑業的一項新技術,在生產、施工中都不可避免地給工程技術人員帶來了新的課題。由于裝備水平、技術力量和施工管理等諸多因素的影響,商品混凝土在使用過程中尚存在一些質量問題,本文就在現場施工中出現的某些問題進行分析。
1 、商品混凝土質量問題 1.1 混凝土發生工作性不良現象 (1) 攪拌車載貨前未將余水倒盡或泵送過程中加水,致使混凝土泄出時坍落度異常,水灰比增大,工作性也變差,混凝土易離析及強度降低。 (2) 混凝土運至工地等候過久或天氣太熱 ( 混凝土溫度超過 32 ℃ ) ,致坍損過大,造成工作性不良。
1.2 混凝土發生析離 (1) 施工時,澆筑軟管口至澆筑面落差太大,材料產生分離。 (2) 用長滑槽施工,在卸料口處未以木板擋住使骨料分離。 (3) 以澆筑管管尾的短軟管推料致混凝土析離。
1.3 混凝土龜裂及滲水 (1) 澆筑樓板時,如遇風大且炎熱 (26 ~ 30 ℃ ) 天氣,現場缺少養護就會產生塑性收縮裂縫呈不規則狀,或產生與鋼筋呈平行與垂直的龜裂,裂縫甚至貫穿樓板。 (2) 澆筑后養護天數不足或齡期不足就加重載于結構物上,產生龜裂。 (3) 新、舊混凝土接縫處常發生裂縫,或因施工方式有誤產生施工縫致表面產生龜裂。
1.4 混凝土外觀不良 (1) 混凝土表面浮漿過多未干、表面泌水嚴重,有嚴重起粉現象,混凝土澆筑拆模后有水紋,混凝土外觀表面色澤不一,表面出現白色的白花狀,且呈不規則散布,并出現裂縫及滲水現象。 (2) 混凝土未正常凝固 ( 因減水劑使用量計量錯誤,或因計量設備破損漏出使緩凝劑過量 ) 。 (3) 拆模后外觀顏色不一且部分易脫落,強度不足 ( 取樣分析后發現有摻粉煤灰過量 ) 。
1.5 其他 (1) 預拌車數量不足,輸送間隔時間太久致已澆筑混凝土形成施工縫。 (2) 主體結構澆筑完成后發現每層樓板均有局部小面積呈現全是砂料且明顯強度不足,有的部位可以用細鋼筋挖除的現象。
2 、商品混凝土質量的預防控制 以上問題均是在施工中常見的通病,有時甚至會對結構質量產生很大的影響,造成質量事故。因此,在施工中要注意掌握正確的施工方法。 商品混凝土泵送施工技術是混凝土生產方式的重大變革,其施工工藝有嚴格要求,泵送施工商品混凝土在現場的質量管理及服務成為十分重要的一道工序,其質量如何最終要體現在施工現場的工作性以及入模成型后硬化混凝土的強度耐久性及其他物理力學性能。 (1) 商品砼供應商選擇信譽高、生產規模大、技術力量雄厚的攪拌廠供應,砼攪拌站必須是機械上料計算機計量控制和管理且服務態度好以保證連續供應砼為確保在攪拌機械出故障或交通堵塞時現場砼能正常連續施工同時選擇了 2 家砼攪拌廠其中一家作為應急備用。 (2) 嚴格執行砼工程的施工規范根據分部工程的特點,結合具體條件,研究制定合格的砼澆筑方案。 (3) 要求生產廠家合理選擇混凝土的配合比,選用水化熱較低的和安定性較好的礦渣硅酸鹽水泥降低水泥的水化熱,在拌合物中摻加適量的粉煤灰以減少水泥用量改善砼和易性,施工前嚴格審查配合比并做好試配和試壓工作。 (4) 商品砼運至現場后現場設專人定期抽查砼的坍落度和外觀檢查,商品砼坍落度為 80 ~ 100mm 實測坍落度與要求坍落度之間允許偏差為 10mm ,以此來控制砼的攪拌質量。 (5) 澆筑砼應連續進行,當必須間歇時其間歇時間應盡量縮短并應在前層砼初凝前將次層砼澆筑完畢,砼運輸澆筑及間歇的全部時間不得超過規范規定,如超過時應留置施工縫。 (6) 框架柱混凝土澆筑時框架柱利用混凝土布料機澆筑施工縫留梁底面下 20 ~ 30mm 處,框架柱的施工按施工段進行在支模前應先對柱根部施工縫進行剔鑿和清理然后再支模澆筑砼,為了避免砼離析采用串桶分層下料層厚控制在 500mm ,插入式振動器先沿墻柱周邊振搗后振中間,要認真操作不能漏振確保砼密實柱砼澆筑前底部先澆 5cm 厚與墻砼配合比相同的細石砼混凝土,下料放在大模板操作平臺上不允許直接入模,墻體混凝土下料點分散布置砼分層澆筑分層振搗。 (7) 梁板砼澆筑時應沿施工段的長方向從一端平行推進至另一端,在澆筑過程中應注意梁下部砼密實性必須加強振搗并在砼初凝前采取二次振搗排除砼因泌水在粗骨料水平鋼筋下部生成的水分和空隙,提高砼與鋼筋的握裹力防止因砼沉落而出現的裂縫,減少內部微裂增加砼密實度使砼的抗壓強度提高從而提高抗裂性。(8) 對已澆筑完畢的砼,加以覆蓋和澆水,并符合下列規定:應在澆筑完畢后 12 h 以內對砼加以覆蓋和澆水,砼的澆水養護時間必須符合有關規定,澆水次數應能保持砼處于潤濕狀態,砼的養護用水應與拌制用水相同,夏季施工時防止混凝土水份蒸發收縮產生裂縫必須及時敷蓋草袋進行濕潤養護且養護時間不少于 7d 。(9) 在已澆筑的砼強度未達到 1.2N / mm 2 以前,不得在其上踩踏或安裝模板及支架,混凝土終凝后達到規定強度樓面堆放材料應分散均勻盡量輕放,混凝土強度達到規范要求后方可拆除模板。 (10) 在每一施工段的每一施工層不同強度等級的混凝土每 100m 3 包括不足 100m 3 取樣不得少于 2 組,抗壓試塊一組用于標準養護一組用于等效同條件砼試塊,同時留適量同條件試塊用于施工階段的不同需求。
[ 應用實例 2] 目前我國商品混凝土有國有、私有、國、私合資等三種形式的企業,經過十幾年的發展,優勝劣汰,行業發展已日趨成熟。但在這激烈競爭機制不完善的市場里,無法做到優質優價,各企業間爭相壓價且不斷提高墊款額度,致使企業的經濟效益逐年下滑,欠款資金逐年累加,已經嚴重危及商品混凝土企業的生存和發展。在這種形勢下,各混凝土企業必須嚴格內部管理,運用現代管理思想來實現“增收節支”,提高企業經濟效益。
1 、商品混凝土企業的主要成本構成 理論上說混凝土企業成本主要是:①固定性費用,包括:固定工資、六金、折舊費、車輛養路費、運管費、保險費、其他辦公費;②變動性生產費用,包括:人工費、材料費、機械使用費。但根據我多年的工作經驗,企業成本還應包括:墊款資金費用、工程欠款壞帳費用、生產安全節支費用、技術節約費用、設備租賃費用。只有把所有的成本控制到最佳狀態,企業才能得到最佳經濟效益。
2 、商品混凝土企業成本管理存在的問題 (1) 商品混凝土企業成本意識差,制度不健全。許多企業對內部控制的理論缺乏認識,只注重生產,輕視各環節的成本控制,沒有制定各環節成本控制的有效規章制度,更沒有充分調動職工參與成本核算控制,使成本管理工作難以達到預期的效果。 (2) 對成本管理意識淡薄,監督機制失效。有的企業只重視生產過程的成本管理,即不重視非直接成本的管理,總認為成本管理是領導的事,是財務人員的事,其它部門及人員認為與自己無關,造成墊款資金高、采購材料高、維修高、材料浪費、配合比富余值高、生產調度不當造成產品浪費等等。 (3) 非生產性成本控制不嚴。隨著企業不斷擴大生產發展,非生產性成本自然會增加,但有的企業機構因人設崗,管理人員增多,職工工資增長較快,材料、修理費增加,開支隨意性大,造成非生產性成本開支居高不下。
3 、提高商品混凝土企業經濟效益的主要措施 針對混凝土企業成本主要構成和存在的主要問題,本人認為對混凝土企業而言,要上到管理層,下至各部門,每個員工都必須樹立“增收節支”,提高企業經濟效益為本的觀念,有效制定控制成本的各環節的規章制度,有效開展落實并監督實施相關環節活動,本人認為從以下幾點進行管理和控制。
3.1 加強混凝土變動成本的管理 商品混凝土變動成本約占總成本的 68% 左右,它是混凝土企業的重要控制區,為此應從以下幾個方面有效控制。 (1) 材料成本控制。包括材料驗收、用量控制和價格控制。材料驗收應嚴格按合約要求驗收合格的產品,杜絕以次充好和數量不足的現象發生;材料用量控制應堅持按額定的材料消耗量,實行限額領料報耗制度;若不按此實行,就會造成企業損失,如有的企業就汽車輪胎、汽車汽油而言,就出現輪胎以次充好,多領輪胎、汽油等現象,每年給企業造成十幾萬元的損失。材料價格控制包括買價與資金成本的控制。在買價方面,要充分進行市場調研,引進市場競爭機制,要擇優購料,有的企業有章不循,無監督機制,任由各部門自由采購,造成采購價比同行業高,若能做到擇優購料,降低采購成本,即可為企業節約成本。同時,應合理確定進貨批次、批量和結算辦法,可降低企業的資金占用,提高企業的資金效益。 (2) 人工費用控制。人工費用跟企業的用人機制和工資收入有直接關系,混凝土企業根據該企業的生產規模來合理定崗定人,但目前國企跟私企管理機制不一樣,同樣生產規模的企業,國企的管理人中比私企多出 30 %,這樣造成人浮于事,且人工費用多年居高不下。為此對職工的工資收入可以推行績效工資制度,促使員工的收入與產量、成本、綜合考核指標等完成性進行掛鉤,并按月進行考核,獎懲兌現。如攪拌樓、車隊、泵送隊的員工的工資由基本工資、產量工資、材料 ( 含油耗 ) 節余等組成,通過這種績效工資的管理,可以促使全體員工合理組織勞動生產,不斷改進工作業績,提高企業的效益。 (3) 機械費用控制。混凝土企業的機械費用跟該企業的選購設備定位有關。即選購的是國產的還是進口的。國產的機械設備原價低、折舊費少、維修配件價格低,但維修次數高,完好率和利用率比進口低,即使用年限不如進口設備。進口機械設備原價高、折舊費高、維修配件費用高,但維修次數少,完好率和利用率比國產高,使用年限比國產設備長,但不管是國產的還是進口設備,企業皆應建立現代的機械設備管理制度,培訓熟練的操作工人,平時做好“三級設備管理”,合理調用,力求降低設備機械的故障,力求提高機械設備的完好率和利用率。同時應把進口設備配件國產化,降低維修、保養費用開支,控制好機械費用。
3.2 加強對非生產性固定費用的控制 (1) 企業應合理設置工作崗位,以崗定責,以崗定員,以崗定酬,精簡機械和管理人員,同時辦公費用按計劃責任落實嚴控開支,達到固定費用降低的目的。 (2) 對車輛、設備的保險費等固定費用的開支,應多引進幾家競爭,選擇服務優、費用低的保險公司。本人發現同樣機械設備的企業,選擇不同的保險業單位,其總費用都不一樣,有的年相差幾十萬元。
3.3 做好“增收節支”工作,提高企業效益。 混凝土企業的成本控制,除了要控制變動和固定費用外,要提高企業的經濟效益,本人認為要抓好以下幾個方面。 (1) 生產經營風險控制。目前各城市混凝土生產企業出現“供大于需”的局面,面對“僧多粥少”的問題,各企業為了獲得工程訂單,不但壓低價格,抬高墊款額度,而且未了解該項目的資金情況、資信情況,就盲目簽定合同,而項目實施完后,該項目欠款額高達合同額的 70 %以上,有的項目欠款年限達 6 年以上,有的項目欠款無法追回,我省有的混凝土企業外債累計最高達 1.5 億以上,外債最少的也有兩千多萬元以上,這樣造成巨大的經營風險,而且造成資金緊張,運營成本高。所以在簽定合同前,要對項目的資信情況進行了解;對在供項目未履行合同的要采取緩供、停供混凝土的措施;對舊款要采取催討、打官司的措施。這樣才能有效催收混凝土款,保證企業資金周轉,降低經營風險,降低運營成本。 (2) 企業應根據市場情況,擴大規模,做到增產增收。目前各地政府對使用商品混凝土的管理力度越來越大,商品混凝土的使用量隨著城市的擴容越來越大,且混凝土單價趨于合理,使用商品混凝土已成為大家的共識,為此混凝土企業應根據城市的變化,根據自身的能力,不斷擴大自己的生產規模,做到薄利多銷,降低生產成本,提高企業效率,提高企業的競爭能力。 (3) 加強質量管理,促進技術節收。企業應采用樹立“質量求生存,以質量求信譽,以質量求效益”的觀念,建立健全混凝土質保體系,認真落實質量責任制度,做到不出現質量事故,有的企業質保體系不健全,造成混凝土的質量事故,不但給企業造成損失,而且給企業信譽造成無形的損失。同時應多學習推廣新技術、新工藝、新材料,在保證質量合格的前提下,應用新材料,降低水泥用量,同時對砼標號等級的配合比在質量合格的前提下,適當擴大富余量,但有的企業對配合比設計太保守,造成水泥浪費。若混凝土配合比能做到合理設計,每立方米能節約 l 0kg 水泥,而年產量按 30 萬 m 3 計,則年節約 3000t 水泥,年節約成本百萬元以上。所以技術創新是降低成本的關鍵。 (4) 加強企業的安全管理,降低安全事故,做到安全節支。企業應建立健全一套安全管理體系,要樹立“安全人人有責”“安全就是效益”的生產觀念,如果企業因安全措施不到位,一年中出現幾起行車安全事故或機械設備安全事故,若造成重大人身、機械設備安全事故,不僅會直接蠶食企業的利潤,而且還會影響企業的生產聲譽。 (5) 合理安排生產,減少租賃設備。由于承接任務量、生產任務不均衡等諸多原因,造成經常生產安排緊,為此,生產部門應根據工地的需要,適時調整生產供應,做好一天 24h 各時段的合理安排生產設備,盡量不去租賃設備。因為現在混凝土利潤低,一旦經常租賃設備,無形中增大企業成本,直接降低企業效益。 綜上所述,加強企業的成本控制與管理,永遠是企業永恒的主題。企業只有建立健全成本管理體系,認真落實各環節,各方面的成本控制,努力降低企業成本,做到“增收節支”,才能提高經濟效益,在激烈的市場競爭中增強競爭實力才能不斷發展不斷做大做強。
MNC-P 2 型液體泵送劑
本產品符合混凝土外加劑標準 (GB8076 — 1997) 、混凝土泵送劑標準 (JC473 — 2001) ,是一種集高效減水和改善泵送性能雙重作用的新型外加劑,早強、增強效果明顯,是配制高質量泵送混凝土的理想材料。 一、適用范圍: 適用于預拌早強高強泵送混凝土、商品混凝土、大體積混凝土、鋼筋混凝土、自密實混凝土等。
二、主要性能: 1 、本產品為棕黑色液體 ( 液體密度為 1.1 8 ± 0.02g /mL) 。無毒、無臭、不燃,對鋼筋無銹蝕作用。 2 、在混凝土中加入推薦摻量的該產品,其減水率可達 20 %,且可明顯改善混凝土的和易性、保水性、可泵性,并能獲得較高的早期強度。 3 、該產品具有一定的引氣性 ( 含氣量小于 4.5 % ) ,坍落度損失小。 4 、與 42.5MPa 普通硅酸鹽水泥或 42.5MPa 硅酸鹽水泥配合使用,可以配制 C40 ~ C70 泵送商品混凝土。
三、摻高效泵送劑混凝土性能指標:
|
檢驗項目 |
JC473 — 2001 性能指標 |
檢驗結果 |
|
一等品 |
合格品 |
|
坍落度增加值 (rnm) |
≥ 100 |
≥ 80 |
132 |
|
常壓泌水率 ( % ) |
≤ 90 |
≤ 100 |
78 |
|
含氣量 ( % ) |
≤ 4 . 5 |
≤ 5 . 5 |
3.0 |
|
坍落度保留值
(rnm) |
30min |
≥ l 50 |
≥ 120 |
165 |
|
60min |
≥ 120 |
≥ 100 |
130 |
|
抗壓強度比 ( % ) |
3d |
≥ 90 |
≥ 85 |
115 |
|
7d |
≥ 90 |
≥ 85 |
118 |
|
28d |
≥ 90 |
≥ 85 |
106 |
|
收縮率比 ( % ) |
28d |
≤ l 35 |
≤ l 35 |
115 |
|
對鋼筋的銹蝕作用 |
應說明對鋼筋有無銹蝕作用 |
對鋼筋無銹蝕作用 |
|
摻量:水泥用量的 2 % |
四、推薦摻量: 根據使用目的和要求,本品的推薦摻量為水泥用量的 2.0 %~ 2.8 %,常用摻量為水泥用的 2.2 %~ 2.5 %。
五、使用方法: 1 、液體直接加入。 2 、混凝土攪拌車長距離運輸物料時,可考慮到工地后添加本品并二次攪拌,以避免坍落度損失過大。
六、包裝、運輸、貯存: l 、液體采用 50kg 塑料桶或 200 噸鐵桶包裝。包裝桶要求密封,防止漏液或水份蒸發干固,也可采用槽車運輸。
七、注意事項: 1 、使用本品應精確計量,以保證工程質量。 2 、初次使用,可根據實際要求對使用本品的混凝土進行試配,以確定最佳用量。
預拌混凝土 ready-mixed concrete 水泥、集料、水以及根據需要摻入的外加劑、礦物摻合料等組分發一定比例,在攪拌站經計量、拌制后出售的并采用運輸車,在規定時間內運至使用地點的混凝土拌合物。
通用品 normal concrete 強度等級不大于 C50 、坍落度不大于 18 0 ㎜、粗集料是大公稱粒徑為 20 ㎜、 25 ㎜、 31.5 ㎜或 40 ㎜,無其他特殊要求的預拌混凝土。
特制品 special concrete 任一項指標超出通用品規定范圍或有特殊要求的預拌混凝土。
交貨地點 delivery place 供需雙方在合同中確定的交接預拌混凝土的地點。
出廠檢驗 inspection at manufacturer 在預拌混凝土出廠前對其質量進行的檢驗。
交貨檢驗 inspection at delivery place 在交貨地點對預拌混凝土質量進行的檢驗。
慕湖牌 MNC- P 型混凝土泵送劑在東勝市的應用
工程名稱:鄂爾多斯集團辦公室樓 施工單位:內蒙古伊盟興泰建筑有限公司 監理單位:威明監理公司 總建筑面積: 1062 0 ㎡ 共十七層,地下一層,地上十六層 使用產品及數量: MNC-P 2 型混凝土高效泵送劑, 21 噸。 使用部位:筏板, C30 混凝土 外壁、水池: C30 , P6 板: C25 、梁: C35 聯系電話:( 0477 ) 8337504 副總指揮:李飛云 趙云峰 技術負責:王秉儒 王靜波 使用日期: 2000 年 6 月
P 2 高效泵送劑
P 2 緩凝高效泵送劑由萘磺酸鹽甲醛縮合物經復合而成,具有緩凝早強、增強、塑性、流動度損失小等特點,適用配制流態混凝土,泵送混凝土, C20 ~ C50 的早強高性能流態混凝土,遠距離的商品混凝土,大體積混凝土,與膨脹劑一起可“雙摻”配制防滲抗裂混凝土。產品各項性能指標優于 JS473-2001 泵送劑一等品的要求。
一、主要性能指標
1 、本產品有粉劑和液體二種。粉劑為褐色粉末,含水量≤ 5 %,細度< 15 %( 0.315 ㎜篩余),液體含固量 35 ± 2 %,密度 1.19 ± 0.02 , PH 值 8 ± 1 。 2 、減水率:與基準混凝土保持相同的坍落度時,減水率 15 ~ 20 %。 3 、流動性:使基準混凝土的坍落度從 8 ~ 10 ㎝增至 18 ~ 22 ㎝,經過 60 ~ 90 分鐘后保持在 16 ㎝以上。 4 、含氣量: 2 ~ 4 % . 5 、凝結時間:初凝時間 6 ~ 12 小時;(可根據用戶要求自由調整)。 6 、早強增強作用: 5 ~ 7 天齡期的混凝土強度達到設計強度的 70 ~ 80 %, 28 天強度提高 10 ~ 20 %。 7 、能改善混凝土的抗凍性和抗滲性。 8 、不含氯離子,對鋼筋無銹蝕作用。
二、使用范圍
1 、強度等級 C20 ~ C50 的高性能混凝土,流態混凝土,泵送混凝土,商品混凝土。 2 、大體積混凝土與膨脹劑一起可雙摻的大體積、流態、防滲抗裂混凝土。 3 、高層建筑的基礎、大梁、板、柱的澆注。 4 、立交橋后張預應力蓋梁、箱渠、灌注樁、沖孔樁、密集鋼筋結構的自流平高強混凝土。
三、使用方法及注意事項
1 、本產品液體在攪拌時與水一起加入混凝土中,也可后于水加入混凝土。 2 、 P 2 的液體摻量為膠凝材料重量的 1.2 ~ 1.8 %,用戶必須根據工程具體技術性能要求和使用條件,經混凝土試拌確定最佳摻量。
四、貯存與包裝
1 、本產品粉劑為 25 ㎏ / 袋,塑編袋包裝,也可按用戶要求另議包裝;液劑用鐵桶裝 250 ㎏ / 桶,也可采用槽罐車運輸。 2 、本產品應存放在干燥、通風條件下,注意防潮。如受潮需破碎后重新試驗方可使用。 3 、液體保質期為一年,最佳使用期三個月。如超過保質期,應重新試驗確認后方可使用。 4 、本產品無毒、無腐蝕,如不慎濺入眼睛、皮膚,用清水沖洗即可。
|
產品名稱
性能技術指標 |
P 1 普通泵送劑 |
P 2 高效泵送劑 |
P 3 高強泵送劑 |
|
適用砼強度等級 |
C30 以下砼 |
C20 ~ C50 |
C40 ~ C80 |
|
含水量(粉劑) % |
≤ 5 |
≤ 5 |
≤ 5 |
|
細度 0.315 ㎜篩余 % |
≤ 15 |
≤ 15 |
≤ 15 |
|
含固量 ( 液劑 )% |
≥ 32 |
≥ 35 |
≥ 38 |
|
比重 |
1.17 ± 0.02 |
1.19 ± 0.02 |
1.2 ± 0.02 |
|
PH 值 (5% 溶液 ) |
8 ± 1 |
8 ± 1 |
8 ± 1 |
|
含氣量 % |
≤ 4.5 |
≤ 4 |
≤ 3 |
|
水泥凈漿流動度㎜ |
≥ 180 |
≥ 220 |
≥ 240 |
|
坍落度增加值㎜ |
100 |
120 |
150 |
|
坍落度保持值 |
30min |
150 |
170 |
180 |
|
60min |
120 |
140 |
150 |
|
凝結時間 h |
6 ~ 8 |
8 ~ 12 |
8 ~ 12 |
|
鋼筋銹蝕 |
無 |
無 |
無 |
|
收縮率 % |
≤ 135 |
≤ 130 |
≤ 128 |
|
摻量 C × % |
0.8 ~ 1.2 |
1.2 ~ 1.8 |
1.8 ~ 2.3 |
C20 ~ C60 泵送混凝土參考配合比 (42.5MPa 普硅水泥 )
|
強度等級 |
W |
C |
FA |
S |
G |
W/B |
SP(%) |
P 2 摻量 (%) |
坍落度 ( ㎝ ) |
|
C20 |
195 |
210 |
90 |
810 |
1075 |
0.65 |
43 |
1.0 ~ 1.2 |
18 ~ 22 |
|
C25 |
195 |
260 |
65 |
781 |
1079 |
0.6 |
42 |
1.0 ~ 1.3 |
18 ~ 22 |
|
C30 |
190 |
286 |
72 |
751 |
1081 |
0.53 |
41 |
1.2 ~ 1.5 |
18 ~ 22 |
|
C35 |
185 |
317 |
79 |
720 |
1079 |
0.47 |
40 |
1.4 ~ 1.7 |
18 ~ 22 |
|
C40 |
180 |
335 |
84 |
695 |
1086 |
0.43 |
39 |
1.6 ~ 1.9 |
18 ~ 22 |
|
C50 |
170 |
387 |
85 |
660 |
1078 |
0.36 |
38 |
2.1 ~ 2.3 |
18 ~ 22 |
|
C60 |
165 |
436 |
96 |
647 |
1056 |
0.31 |
38 |
2.3 ~ 2.5 |
18 ~ 22 |
C20 ~ C40 泵送混凝土參考配合比 (32.5MPa 普硅水泥 )
|
強度等級 |
W |
C |
FA |
S |
G |
W/B |
SP(%) |
P 2 摻量 (%) |
坍落度 ( ㎝ ) |
|
C20 |
195 |
289 |
72 |
766 |
1058 |
0.54 |
42 |
1.0 ~ 1.3 |
18 ~ 22 |
|
C25 |
190 |
317 |
79 |
736 |
1058 |
0.48 |
41 |
1.2 ~ 1.4 |
18 ~ 22 |
|
C30 |
185 |
361 |
90 |
698 |
1046 |
0.41 |
40 |
1.4 ~ 1.6 |
18 ~ 22 |
|
C35 |
175 |
378 |
95 |
675 |
1057 |
0.37 |
39 |
1.9 ~ 2.1 |
18 ~ 22 |
|
C40 |
165 |
400 |
100 |
652 |
1063 |
0.33 |
38 |
2.3 ~ 2.5 |
18 ~ 22 |
注:中砂Mx=2.5~2.8 碎石5~31.5㎜Ⅱ級粉煤灰
泵送劑摻量和品種與砼標量、用水量、石子大小的關系表
|
用水量(㎏ /m 3 ) |
砼標號 |
摻量( % ) |
品種 |
摻量( % ) |
品種 |
摻量( % ) |
品種 |
|
215 |
C15 |
0.70 |
P 1 |
0.65 |
P 1 |
0.60 |
P 1 |
|
200 |
C20 |
1.00 |
0.90 |
0.80 |
|
195 |
C25 |
1.00 |
1.10 |
1.00 |
|
190 |
C30 |
1.50 |
P 2 |
1.40 |
P 2 |
1.30 |
P 2 |
|
185 |
C35 |
1.60 |
1.50 |
1.40 |
|
180 |
C40 |
1.70 |
1.60 |
1.50 |
|
175 |
C45 |
1.85 |
1.75 |
1.65 |
|
170 |
C50 |
2.10 |
P 3 |
1.90 |
P 3 |
1.80 |
P 3 |
|
165 |
C55 |
2.20 |
2.05 |
1.90 |
|
165 |
C60 |
2.40 |
2.20 |
2.00 |
|
石子最大粒徑 ( ㎜ ) 20 |
25 |
31.5 |
注: Mx=2.6 ~ 2.8 SL=18 ~ 20 ㎝ 說明:在保持相同坍落度、相同用水量情況下: 1 、砂子細度模數變化,相應影響外加劑摻量; 2 、水泥品種、水泥需水量大小影響,外加劑摻量相應增減; 3 、坍落度與外加劑摻量之相應關系:坍落度每增減 2 ㎝,外加劑摻量相應增減 0.1% ~ 0.2% 。
[ 應用實例 3]
預防混凝土出現裂縫的措施
水泥混凝土成型后,在早期抗拉強度尚未充分形成以前,由于濕脹干縮、化學減縮、熱脹冷縮等原因產生了收縮,受約束的水泥混凝上往往會產生裂縫。欲消除裂縫,必須從減少水泥混凝土干縮著手。 水泥混凝土干縮受多種因素影響,主要有:混凝土單位用水量、石子及砂的成分及初期濕養護的持續時間。其他如石子粒徑、拌和物配合比、拌和物的含漿量等因素對干縮也有影響,而拌和物的總需水量則是影響干縮的主要因素。水泥的品種和細度對混凝土的干縮也有一定影響,用火山灰作混合材的水泥所表現的干縮性能隨火山灰的種類不同而不同。有的火山灰增加干縮,有的火山灰減少干縮,使水泥需水量增加的火山灰通常是增加干縮。粉煤灰一般能減少干縮。水泥細度細,通常干縮大。欲減少干縮,避免水泥混凝土出現裂縫,可采取以下幾個措施:
1 .減少單位用水量 在混凝土中,水泥與水通過水化反應而生成凝膠,凝膠吸水則膨脹,干燥則收縮。干燥收縮大部分是由水泥凝膠的收縮而引起的。因而單位用水量對混凝土的于燥收縮有影響,單位用水量愈少,干燥收縮愈小。采用減水劑,減少單位用水量可顯著改善混凝土的干縮,避免出現裂縫。
2 .石子含量和種類 混凝土中產生收縮的主要組分是水泥石,減少水泥石的相對含量即可減少收縮。石子對水泥石的收縮能夠起到限制作用,它的數量和質量,對混凝土收縮影響很大。減少水泥用量,增加石子數量,選擇品質好的石子可顯著改善混凝土的干縮。不同石子對混凝土的收縮有不同影響,其收縮率大小順序如下:砂巖 > 礫石 > 玄武巖 > 石灰巖 > 花崗巖 > 石英巖。
3 .避免使用過細的砂和含泥多的砂 水泥混凝土中使用砂子過細或者含泥量過多,必然會增加水泥的用量,使水泥混凝土干縮顯著增大。特別是有的用戶采用石灰石破碎后篩選下來的細顆粒代替砂子使用,含泥量特別多,而且顆粒形狀不好,帶有尖角,影響水泥混凝土的流動性,為了能使水泥混凝土順利澆筑,必然增加水的用量,從而使得水灰比過大,水泥混凝土干縮顯著增加,造成水泥混凝土開裂。
4 .延長潮濕養護期 混凝土在水中養護,不但不收縮,而且還會膨脹 (10 0 ~ 200 ) × 10 -6 左右,因此,延長潮濕養護期可以推遲收縮的開始,待水泥混凝土產生一定強度后再停止潮濕養護,就可以有效抵御干縮應力,防止出現裂縫。
5 .及時切割 通常混凝土預制板或道路施工是采用長條形整體澆筑成型后再切割成所需的長度的方法。由于長度增加,總收縮量變大,又沒有自由收縮的空間,因此容易在預制板或道路中間出現裂縫。為了防止這種裂縫,應在潮濕養護到產生一定強度后,及時地進行切割,使每塊預制板或路面都有自由收縮的空間,可有效防止預制板或道路出現裂縫。
6 .采用蒸汽養護 普通蒸汽養護可以減少混凝土的收縮, 120d 的收縮值比標準養護混凝土的收縮值約降低 20 %左右。蒸壓養護對減少混凝土收縮更為顯著,約可減少 50 %以上。
7 .水泥品種和細度 水泥品種和細度會在一定程度上影響水泥混凝土的干縮大小。水泥中通常都摻有混合材,凡是能使水泥需水量增加的混合材,通常會增加水泥混凝土的干縮,如火山灰等混合材。水泥磨得過細,比表面積太大,通常干縮也較大,水泥混凝土出現開裂的可能性也大,應采取相應的措施。
8 .混凝土外加劑的影響 在水泥混凝土攪拌時,通常要加入各種減水劑等外加劑。許多外加劑均可使水泥混凝土液相的表面張力增加,從而增加混凝土的干縮。但也有少量外加劑能使液相張力下降,減少干縮。
9 .避免太陽爆曬 水泥溫度太高,或者水泥水化熱太大,使混凝土成型時溫度太高產生膨脹,冷卻后產生收縮容易引起混凝土開裂。特別是在夏天中午,砂、石子溫度很高,施工后水泥水化又快,水泥混凝土溫度很高,到了晚上溫度下降,引起熱脹冷縮,造成開裂。因此,夏天應避免砂、石在太陽下爆曬;水泥施工后也應馬上覆蓋,避免太陽直接爆曬。
10 .二次振搗 混凝土拌和好后,停放 30~60 分鐘進行預縮后,才進行振動搗實,或混凝土澆筑振搗密實后 30~60 分鐘,再進行第二次振搗,使混凝土重具塑性為準,這樣可消除水泥水化過程中產生的大部分收縮量,防止收縮裂縫的產生。
11 .薄膜密封 混凝土振搗抹平后,即用密封性能好的薄膜材料 ( 如塑料薄膜等 ) 密封,既可不讓水泥漿體水分繼續蒸發,又可減少水泥石內部與外部的溫差。需要注意的是,薄膜材料的周邊須用能密封的重物 ( 如砂等 ) 壓實,若薄膜材料存在接頭,則接頭處須有不小于 5 厘米 的重疊量,且在覆蓋后的 14 天內須確保薄膜的內表面附著有飽和水珠。若要求保濕效果更好時,可在混凝土二次振搗抹平后,先覆蓋上保濕材料 ( 如濕的鋸末、麻布或稻草等 ) ,再覆蓋薄膜材料。如想進一步防止混凝土因內外溫差應力引起的裂縫,可在保濕薄膜的上面再覆蓋上干燥的保溫材料 ( 如土或稻草或泡沫塑料等 ) ,保溫材料必須保持干燥,若遇雨天時,保溫材料上面須蓋上防水薄膜。

混凝土摻外加劑后的異常現象及其防治方法
|
現象 |
原因 |
防治方法 |
|
粘罐:水泥砂漿粘在攪拌機筒壁或運輸工具上 |
1 .混凝土粘滯性大 2 .多出現于摻緩凝劑或緩凝減水劑混凝土 3 .自落式攪拌機葉片與筒壁之間無空隙或空隙過小 |
1 .采用兩次投料法:先投砂、石,后投水泥、外加劑及剩余的水 2 .使用強制式攪拌機 3 .粘罐的砂漿及時清除 |
|
假凝:新拌混凝土出機后失去流動性 |
1 .水泥在磨細時部分二水石膏受熱成為半水石膏 2 .減水劑不適應這種水泥 |
1 .更換水泥或更換減水劑 2 .降低摻用量 3 .降低攪拌溫度 |
|
速凝:新拌混凝土出機后 10min 初凝 |
木鈣減水劑與水泥中氟石膏配合時出現,木鈣被氟石膏吸附,造成鋁酸三鈣急速水化 |
氟石膏水泥不應選用木鈣減水劑,或木鈣減水劑不在氟石膏水泥中應用 |
|
不凝:長時間或 24h 后不凝結 |
1 .緩凝劑或緩餐減水劑摻量過大或計算錯誤 2 .摻用時溶液未拌勻 |
1 .外加劑摻量重新試配 2 .檢查計量裝置及溶液攪拌裝置 |
|
強度低:強度比試配強度低得多 |
1 .外加劑質量不良,有效成分不足 2 .摻引氣劑或引氣減水劑振搗不足 3 .摻減水劑而不減水或多加水 4 .引氣性組分或三乙醇胺摻量過大 |
1 .檢驗外加劑質量,重新確定其摻量 2 .澆筑時加強振搗 3 .按規定減水 4 .檢查計量裝置 |
|
起泡:混凝土抹面后表面鼓起氣泡 |
干粉顆粒不均勻,較大或未磨成粉狀的顆粒遇水膨脹 |
1 .將粉狀外加劑通過 0.5 ㎜篩子孔篩分 2 .保持粉劑的干燥狀態,已結粒的應烘干后使用 |
|
裂縫:混凝土抹面后出現塑性裂縫 |
1 .新拌混凝土較粘稠,未振搗沉實 2 .裂縫多出現在鋼筋或粗大骨料面上 3 .混凝土表面干縮 |
1 .初凝前后進行表面二次抹光,將裂縫壓至消失 2 .用薄膜覆蓋養護 |
工程裂縫與一般治理方法
|
裂縫部位 |
發生原因 |
治理方法 |
|
表面裂縫 |
1 .混凝土坍落度過大、泌水多; 2 .砂漿上浮,抹壓不及時,產生表面沉縮裂縫 |
控制混凝土坍落度,在混凝土終凝前多次抹壓,隨后及時復蓋塑料薄膜 |
|
墻體豎向裂縫 |
1 .膨脹劑摻量不足,混凝土限制膨脹率不足補償收縮; 2 .配筋率偏低,水平筋間距偏大;應力集中處,未加附加筋; 3 .振筋; 4 .拆模時間太早; 5 .溫度驟降; 6 .保濕、保溫養護不重視; 7 .施工完未及時復土 |
表層裂縫 ( 深 2 ~ 3 ㎝ ) ,沿縫鑿成 V 形槽,清洗干凈,用摻膨脹劑的凈漿和 1 : 2 砂漿分層封縫,或再用防水涂料或防水卷材封貼;貫通裂縫,用聚氨酯等防水液壓力灌縫,或再外貼防水涂料或防水卷材;裂縫有水滲漏時,可用快速堵漏材料先行封堵 |
|
底板、樓板、梁裂縫 |
1 .膨脹劑摻量不足; 2 .水平構造筋不足,間距太大; 3 .應力集中的部位,如邊角,開口處未加附加筋; 4 .強度不足,過早上重物; 5 .保濕保溫養護不重視 |
表層裂縫 ( 深 2 ~ 3cm ) ,鑿縫后用摻膨脹劑的凈漿和砂漿修補;貫通裂縫,用聚氨酯或環氧樹脂壓力灌縫 |
|
后澆帶、膨脹加強帶、對拉螺栓等細部裂縫 |
1 .膨脹劑摻量不足; 2 .施工縫處理馬虎; 3 .細部處理不妥善 |
多為表層裂縫,鑿縫后用摻膨脹劑的凈漿和砂漿修補 |
混凝土收縮的分類
|
裂縫部位 |
發生原因 |
治理方法 |
|
1 .沉縮 |
1 .混凝土拌合物剛成型之后,固體顆粒下沉、表面產生泌水、混凝土體積減少
2 .沉縮大的混凝土,有時可能產生收縮裂縫 |
一般約為 1 %左右 |
|
2 .化學收縮 |
1 .混凝土終凝之后,在密閉條件下,水分不蒸發時所引起的體積縮小,又稱自生收縮
2 .實際上它發生在大體積混凝土內部
3 .溫度高、水泥用量較大及水泥細度較細時其值趨于增大 |
4 ~ 100 × 10 — 6 |
|
3 .物理收縮 |
1 .混凝土置于未飽和空氣中,由于失水所引起的體積縮小又稱干燥收縮
2 .空氣相對濕度越低,收縮發展越快
3 .失水隨時間增加,取決于試件尺寸,因此,尺寸效應非常明顯 |
150 ~ 1000 × 10 — 6 |
|
4 .碳化收縮 |
1 .由于空氣中二氧化碳的作用而引起體積縮小
2 .空氣相對濕度為 30 %~ 50 %的情況下,碳化最激烈,碳化收縮也最顯著
3 .碳化作用伴隨著混凝土失重和收縮同時增加 |
同時干燥碳化產生的總收縮比物理收縮大 |
現澆結構外觀質量缺陷
|
名稱 |
現象 |
嚴重缺陷 |
一般缺陷 |
|
露筋 |
構件內鋼筋未被混凝土包裹而外露 |
縱向受力鋼筋有露筋 |
其他鋼筋有少量露筋 |
|
蜂窩 |
混凝土表面缺少水泥砂漿耐形成石子外露 |
構件主要受力部位有蜂窩 |
其他部位有少量蜂窩 |
|
孔洞 |
混凝土中孔穴深度和長度均超過保護層厚度 |
構件主要受力部位有孔洞 |
其他部位有少量孔洞 |
|
夾渣 |
混凝土中夾有雜物且深度超過保護層厚度 |
構件主要受力部位有夾渣 |
其他部位有少量夾渣 |
|
疏松 |
混凝土中局部不密實 |
構件主要受力部位有疏松 |
其他部位有少量疏松 |
|
裂縫 |
縫隙從混凝土表面延伸至混凝土內部 |
構件主要受力部位有影響結構性能或使用功能的裂縫 |
其他部位有少量不影響結構性能或使用功能的裂縫 |
|
連接部位缺陷 |
構件連接處混凝土缺陷及連接鋼筋、連接件松動 |
連接部位有影響結構傳力性能的缺陷 |
連接部位有基本不影響結構傳力性能的缺陷 |
|
外形缺陷 |
缺棱掉、棱角不直、翹曲不平、飛邊凸肋等 |
清水混凝土構件有影響使用功能或裝飾效果的外形缺陷 |
其他混凝土構件有不影響使用功能的外形缺陷 |
|
外表缺陷 |
構件表面麻面、掉皮、起砂、沾污等 |
具有重要裝飾效果的清水混凝土構件有外表缺陷 |
其他混凝土構件有不影響使用功能的外表缺陷 |
預拌混凝土使用須知
一、混凝土基本知識: 預拌混凝土系指由水泥、集料、水以及根據需要摻入的外加劑和摻合料等成分按一定比例,經集中攪拌站 ( 廠 ) 計量拌制后,采用運輸車在規定時間內運至使用地點的混凝土拌合物。
二、施工單位施工前準備工作:
1 、澆搗混凝土之前,木模板應用水充分濕潤,以防混凝土表面因干縮而產生裂縫。 2 、模板及支撐應牢固,不要出現模板下沉或爆模脹模現象。 3 、泵管要固定好,防泵送時管身搖晃,軟管彎折不要超過 90 度。以防阻力過大而造成堵泵或爆管。 4 、應保證施工現場道路平整暢通,為預拌混凝土的運輸使用提供照明、水源設施和其他必要條件。
三、預拌混凝土數量和質量驗收:
1 、預拌混凝土供貨量以“立方米”為計算單位,由混凝土拌合物密度除一臺運輸車實際裝載量。混凝土拌合物密度系指經密實后的單位體積混凝土的質量。一臺運輸車實際裝載量可由用于該車混凝土中的全部材料的質量和求得或卸貨前后運輸車的質量差求得。 2 、質量驗收包括:攪拌混凝土和易性、坍落度每車應目測檢查,對坍落度、含氣量及氯化物總量不符合要求的混凝土,需方要權拒收和退貨。用于交貨檢驗的試樣,每 100 立方米相同配合比混凝土,取樣不少于一次;一個工作班拌制的機同配合比的混凝土不中 100 立方米時,取樣不少于一次。
四、混凝土澆筑:
1 、攪拌運輸車到達現場后,施工單位負責指揮具體澆筑部位和速度。施工單位嚴格按“交驗單”上的“澆筑部位”指揮供方駕駛員到正確位置卸料澆筑,防止不同標號的混凝土混澆。 2 、卸料前,攪拌動輸車必須快速攪拌一分鐘,以防混凝土產生離析現象,然后方可卸料。坍落度及和易性若不符合要求,應同現場質檢員負責處理(如用外加劑恢復坍落度),絕對不能亂加水,以防增大水灰比,降低強度,出現裂縫。 3 、普通的預拌混凝土從開始攪拌起,在夏季如果超過六小時(冬季超過八小時),不得使用,并應及時通知供方值班技術負責人處理。 4 、澆筑過程中不要漏振,以防產生蜂窩麻面;澆搗時不要過振,防止石子下沉,表面砂漿過多而出現表面塑性裂縫。 5 、砼坍落度應嚴格控制,非泵送 80 ± 20 ㎜,泵送砼 120 ± 20 ㎜。初凝前應采取二次抹面、壓光等措施,將水分,浮漿趕走,將毛細孔封閉,防止內部水分繼續往外大量蒸發、引起大量干縮,避免出現大的裂縫。 6 、如是大體積混凝土,應采取覆蓋保溫措施。必要時應進行測溫監控和溫度應力計算(如底板承臺)。 7 、澆筑時混凝土的自由傾落高度不宜超過 兩米 。施工水下樁或人工挖孔樁時,要使用導管或串筒,防止砼離析,樁內的水要抽取干凈,澆注過程中必須連續作業要嚴防斷料,否則泥漿及水摻入混凝土中會造成離析斷層。 8 、在澆筑與柱墻連成整體的梁板時,應在柱墻澆筑完畢后停歇 1 ~ 1.5h ,待混凝土沉實后繼續澆筑,以防止接縫處出現裂縫。
五、混凝土養護: 澆筑完畢,應在砼初凝前,最后一次抹平后立即用塑料布覆蓋,避免風吹日曬,待砼終凝時開始澆水。對于樓(地)板,特別是對摻有膨脹劑的大底板混凝土,最好采取蓄水養護法。若無條件,也要用塑料薄膜加強覆蓋并澆水養護,做好保溫保濕工作。對于內外墻的養護,可采取沿墻兩側布置噴灑水管和懸掛麻袋的辦法。養護期不少于 14 天。
六、混凝土荷載: 澆搗后的混凝土在強度未達到 1.2N/mm 2 之前不得有踩踏、放樣等行為。混凝土澆筑完畢后 24h 可施工放樣,但嚴禁在板上堆加荷載。樓板最早加荷時間應不得早于樓板混凝土澆筑完畢后 72h 。裝卸模板、鋼筋時應施在設有墊板的樓面上,墊板應設在有下層支柱的梁上。
七、施工后的拆模工作: 拆模不能過早,必要時應在現場制作試塊, 并同條件養護。通過試驗,確定拆模時間,以防止出現結構性裂縫。混凝土澆搗后應填寫施工記錄。
八、混凝土強度評定: 預拌砼遵照 GBl4902 — 2003 《預拌混凝土》國家標準和 GB50204 — 2002 《混凝土結構工程施工質量驗收規范》執行。供需雙方現場質檢員應按規范方法共同取樣,由需方編號并做好試塊現場保護工作,防止試塊在現場被損壞或丟失,次日由供方取回拆模并標準養護,到齡期后雙方共同到指定試驗單位進行試驗。
C30 混凝土配合比
|
|
中砂 |
石( 5 ~ 25 ) |
水泥 |
礦粉 |
粉煤灰 |
水 |
外加劑 |
|
A |
800 |
1030 |
235 |
60 |
70 |
185 |
1.58 |
|
B |
799 |
1040 |
229 |
26 |
101 |
185 |
1.51 |
|
C |
795 |
1040 |
218 |
24 |
118 |
185 |
1.51 |
|
C80 配合比 |
C60 配合比 |
C45 配合比 |
|
原材料 |
1. 水泥 :PI 型硅酸鹽 52.5 水泥 2. 砂 : 中砂 3. 石 : 5 ~ 20 ㎜ 4. 外加劑 : P 2 |
1. 水泥 : 普通硅酸鹽 42.5 水泥 2. 砂 : 中砂 3. 石 : 5 ~ 20 ㎜ 4. 粉煤灰 : 二級磨細灰 5. 外加劑 : P 2 6. 礦粉 : S95 |
1. 水泥 : 普通硅酸鹽 42.5 水泥 2. 砂 : 中砂 3. 石 : 5 ~ 20 ㎜ 4. 粉煤灰 : 二級磨細灰 5. 外加劑 : P 2 |
|
配合比 |
原材料 |
水 |
膠凝材料 |
砂 |
水 |
水泥 |
砂 |
石 |
水 |
水泥 |
砂 |
|
每方用量 |
150 |
580 |
690 |
165 |
350 |
750 |
1020 |
165 |
350 |
785 |
|
重量比 |
0.26 |
1.00 |
1.19 |
0.26 |
1.00 |
2.14 |
2.91 |
0.26 |
1.00 |
2.14 |
|
原材料 |
石 |
外加劑 |
|
粉煤灰 |
外加劑 |
礦粉 |
|
石 |
粉煤灰 |
外加劑 |
|
每方用量 |
1010 |
|
|
70 |
4.20 |
70.0 |
|
1030 |
70 |
4.20 |
|
重量比 |
1.74 |
2.32% |
|
0.2 |
1.20% |
0.20 |
|
2.91 |
0.2 |
1.20% |
|
砂率 |
41% |
擴展度 6 5 ± 10 ㎝ |
砂率 |
41% |
坍落度 |
14 ± 3 ㎝ |
砂率 |
41% |
坍落度 |
14 ± 3 ㎝ |
[ 應用實例 4]
混凝土配合比設計
混凝土以其能配制從 C10 至 C100 以上的強度,能澆筑進任何形狀尺寸的模型,并能用鋼筋、纖維直至預應力筋進行增強的優勢,已廣泛應用于房屋建筑、道橋、涵洞、海港、空港,直至海上采油平臺,原子反應堆等所有土建工程。 在混凝土技術發展與應用過程中,世界各國曾有無數工程技術人員對混凝土配制的技術進行研究探索,取得相當豐富的經驗,許多國家的相關標準中,也曾針對某些情況提出過若干配制參考數據。
1 、混凝土配合比設計原則 混凝土是以水泥為主,摻用若干種粉狀礦物摻合料加水和外加劑配制成的膠結材漿體,將散落的砂、石拌和均勻,澆筑在梁、柱、板等各種模型中,牢固地粘結成一個整體的工程材料。混凝土在配制生產過程中,除要求水泥基膠結材漿體本身均勻外,還要求通過攪拌將每個砂、石顆粒用漿體包裹分割開來,再通過振搗等施工工藝,使砂、石獲得最緊密的堆積,被膠結材牢固地粘結在一起。泵送大流動性混凝土和自密實混凝土還要求膠結材漿體有足夠的粘性和流動性,施工時能將砂石均勻懸浮在膠結材漿體中。混凝土在生產攪拌過程中會由砂、石帶進一部分空氣,由于耐久性的要求,還會通過摻入引氣劑引進一部分氣體。因而混凝土是一種含多種原材料,含固、液、氣三相的多元多相水泥基復合材料。
為此,設計配制優質混凝土必須遵守以下原則: (1) 混凝土由膠結材漿體 ( 膠結材 + 水 + 減水劑 ) 體積、空氣體積、砂體積、石體積四部分組成,應按這四部分體積比進行混凝土配合比設計; (2) 水泥基膠結材漿體是決定混凝土施工工作性和混凝土強度、耐久性的關鍵組分,因此應首先按施工工藝及強度;耐久性要求,盡可能科學合理地選定水泥品種、水灰比 ( 水膠比 ) ,單方水量與高效減水劑品種、用量,以及摻合料品種、用量,配制出適用的膠結材漿體; (3) 所有砂、石和粉狀固體顆粒應有最密實的堆積; (4) 新拌混凝土必須具備施工工藝要求的施工性能; (5) 混凝土澆筑后經振搗、養護等工藝應能滿足結構設計要求的各種性能,如抗壓強度、彈性模量、抗滲、抗凍融等性能。
本文主要就混凝土配合比的合理設計方法加以論述。
2 、設計符合要求的膠結材漿體 普通混凝土從施工工作性可區分為干硬性混凝土 ( 坍落度小于 10mm ) 、低塑性混凝土 ( 坍落度 1 0 ~ 40mm ) 、塑性混凝土 ( 坍落度 (5 0 ~ 90mm )) 、流動性混凝土、 ( 坍落度 100~ 150mm ) 和大流動性混凝土 ( 坍落度大于 160mm ) 五種類型。干硬性混凝土漿體只要將膠結材與水混合均勻即可,低塑性和塑性混凝土漿體則應適當添加塑化劑或普通減水劑,流動性混凝土和大流動性混凝土漿體則需要添加高效減水劑并在膠結材中摻含大量玻璃微珠的粉煤灰組分,以利于施工和易性。各種類型混凝土依據施工工藝及強度、耐久性等要求,可適當添加礦物摻合料。 鑒于混凝土為工程結構材料,混凝土配合比除考慮施工工作性外,更重要的是要根據結構強度、耐久性要求進行設計。為此首先應按強度等級選定適宜的水泥品種與水灰比;同時按施工工藝要求設計單方水量以及與之相適應的減水劑品種、用量;再按施工工藝和硬化混凝土耐久性要求選擇摻合料品種、取代水泥量等,以配制出符合要求的水泥基膠結材漿體。 在高效減水劑廣泛應用的今天,混凝土單方拌和水量,在水膠比大于 0.5 時,不宜多于 190kg ;在水膠比小于 0.4 時,則宜以配出的膠結材漿體量不大于 0.36m 3 ( 自密實混凝土不大于 0.4m 3 ) 以及施工工藝要求設計單方拌和水量;同時選用與之相適應的高效減水劑品種、用量。 遵照中央提出的科學發展觀、建設循環經濟與節約型社會和有利于環境的指導思想,在設計混凝土配合比時應采取大量摻用工業廢渣,減少水泥用量的原則,礦物摻合料取代水泥量不宜低于 50 %。 配制出的膠結材漿體要有一定的流動性和粘性。漿體流動性大小主要與高效減水劑的性能、摻量以及單方水量大小相關,漿體的粘性則與膠結材粉體數量、水膠比和外加劑性能相關。宜按施工工藝要求對漿體的流動性和粘性適當調整。
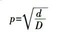
3 、按堆積密實原則設計單方砂、石量 在設計出符合混凝土強度、耐久性和施工工作性要求漿體的基礎上,在每 m 3 混凝上中除去漿體體積和空氣體積外,剩余部分便是砂、石體積。 如前所述,在設計混凝土配合比時所有砂、石及粉狀固相顆粒應有最密實的堆積。怎樣才能獲得最密實的堆積呢,方法有二。一是種著名的富勒氏連續級配理論,其方程式如式 (1) :
 (1)
式中 P ——通過某篩孔的百分數 ( % ) ; d ——篩孔的孔徑 (mm) ; D ——粗骨科最大粒徑 (mm) 。
另一種獲得密實堆積的方法為間斷級配,以間隔二個以上篩號的小顆粒填充大顆粒空隙。 鑒于目前國內建筑工程施工混凝土的石子最大粒徑多為 25mm 和 20mm , 下面用 (1) 式計算石子最大粒徑為 25mm 和 20mm 的砂、石最密實堆積級配數據如表所示 ( 略 ) 。 筆者經反復多次試驗,最大粒徑為 25mm 和 20mm 的石子,如按表內兩級配復配,空隙率均可降至 38 %以下,如按三級配、四級配復配,則空隙率可降至 36 %以下。 鑒于砂、石來源與材質不同,在配制混凝土時,不宜用與石子統一的連續級配要求砂子,一般均用砂率表述砂、石配合關系。 從計算數據看,石了最大粒徑為 25mm 的普通混凝土的連續級配砂率約為 40 %,石子最大粒徑為 20mm 的普通混凝土的連續級配砂率約為 45 %。 但由于最大粒徑為 25mm 的石子用 (1) 式計算的密實堆積狀態的砂子偏粗,比粒度為 4 ,若換用比粒度為 5 的偏粗中砂,則砂量變為 39. 9 × 4/5=31.9 %,加上石子的 60.1 %,砂石合計為 31.9+60.1=92 %,則砂率變為 31.9/92.0=34.7 %,較原計算砂率降低 5.2 % (5 %左右 ) 。同樣,同 (2) 式計算的堆積密實狀態的砂子比粒度為 4.63 ,已屬于偏粗的中砂,如改用比粒度為 5 的中砂,砂率約降低 2 %。 對于砂率,日本建設省提出的“新 RC 計劃”,認為,最大堆積密實度理論對于骨料比表面積與多余的起潤滑作用的漿體數量的影響考慮得不夠,提出有利于新拌混凝土流動性的砂率降低值。 筆者經試驗證明,在膠結材量較多時適當減少砂率,確有利于混凝土的流動性。表 1 為筆者探索自密實混凝土配合比過程中的部分試驗數據。 表 1 的數據說明,對于膠結材多的混凝土,按堆積密實曲線適當減少砂率,不僅有利于流動性,而且有利于漿體與骨料的總體密實性,在表 3 中體現為強度也有一定程度的提高。 另外從堆積密實原則看水泥及摻合料粉體與砂石的堆積關系,由于水泥、 S95 磨細礦渣粉的粒徑多在 1 ~ 80 μ m 之間,一級粉煤灰稍細一些,二級粉煤灰稍粗一些。如按 d 2 =d 1 /2 的篩孔縮減規律看,膠結材粉體或漿體與砂、石混拌均勻,也符合間斷級配堆積密實規律。 綜上所述,設計混凝土配合比必須按強度、耐久性與施工工作性要求,設計出合乎要求的膠結材漿體。有了膠結材漿體體積,則在每 m 3 混凝土拌合物中,除去漿體體積和空氣體積就是砂、石體積。然后根據石子最大粒徑按堆積密實及有利于流變性原則選擇合適的砂率,即應得出符合要求的混凝土配合比。
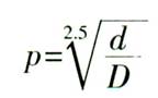
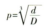
4 、對堆積密實型連續級配的進一步研究 按前述規律通過反復多次試驗與探索,發現堆積密實型連續級配曲線,僅 (1) 式不能涵蓋各種類型混凝土的實際情況。經反復試驗認為,宜按干硬性混凝土 ( 坍落度小于 10mm ) 、低塑性混凝土 ( 坍落度 10 ~ 40mm ) 、塑性混凝土 ( 坍落度 5 0 ~ 90mm ) 、流動性混凝土 ( 坍落度 100~ 150mm ) 和大流動性混凝土 ( 坍落度大于 160mm ) 五種類型分別建立適用的連續級配計算式。 前述 (1) 式適用于塑性混凝土的骨料連續級配。流動性混凝土的骨料連續級配則宜采用 (2) 式。
 (2)
大流動性混凝土的骨料連續級配則宜采用 (3) 式。
 (3)
低塑性混凝土的骨料連續級配宜采用 (4) 式。
 (4)
干硬性混凝土的骨料連續級配宜采用 (5) 式。
 (5)
通過用 (2) 、 (3) 、 (4) 、 (5) 式計算,石子最大粒徑為 25mm 時,流動性混凝土的連續級配砂率約為 45 %,低塑性混凝工的連續級配砂率約為 31 %,干硬性混凝土的連續級配砂率約為 20 %;石子最大粒徑為 20mm 時,流動性混凝上的連續級配砂率約為 50 %,低塑性混凝土的連續級配砂率約為 37 %,干硬性混凝土的連續級配砂率約為 24 %。 鑒于中、低塑性混凝土石子最大粒徑有時用至 31 . 5mm ,用同樣方法計算得出,石子最大粒徑為 31 . 5mm 時,塑性混凝土的連續級配砂率約為 34 %,低塑性混凝土的連續級配砂率約為 27 %,干硬性混凝土的連續級配砂率約為 15 %。 此前,曾用 (1) 式,用最大粒徑為 25mm 的石子,采取經驗上常用的膠結材量和用水量配制膠結材漿體,并參照日本新 RC 計劃降低砂率規律探求膠結材漿體與砂、石單方用量關系時,計算如表 2 。
表 1 適當降低砂率的效果
|
石子最大粒徑 / ㎜ |
水泥 / ㎏ |
粉煤灰 / ㎏ |
磨細礦渣 / ㎏ |
膠結材 / ㎏ |
粉體體積 /L |
水 /L |
漿體 /L |
砂率 /% |
石子用量 /L |
擴展度 / ㎜ |
T50/S |
V 漏斗 /S |
抗壓強度 /MPa |
|
R 3 |
R 7 |
R 28 |
|
25
25
25
20
20
20
20
20
20 |
290
290
290
290
290
290
220
220
220 |
140
140
140
120
120
120
120
120
120 |
130
130
130
130
130
130
100
100
100 |
560
560
560
540
540
540
40
40
40 |
203
203
203
194
194
194
161
161
161 |
175
175
175
175
170
166
183
175
173 |
378
378
378
369
364
360
344
336
334 |
49
16
43
48
46.5
45
48
16.5
45 |
310
328
346
320
332
344
333
347
358 |
710
770
750
735
735
740
530
620
630 |
9 〞 80
8 〞 09
8 〞 80
9 〞 93
15 〞 60
16 〞 15
13 〞 99
7 〞 70
10 〞 58 |
16 〞 52
15 〞 62
17 〞 30
19 〞 91
23 〞 10
24 〞 82
10 〞 69
12 〞 50
17 〞 87 |
30.9
35.5
35.3
22.8
25.2
27.5
11.4
11.7
12.8 |
46.7
49.2
51.4
46.4
50.0
51.1
25.7
25.9
26.6 |
62.5
66.2
69.9
66.3
70.0
72.9
48.5
51.5
55.7 |
表 2 漿體量與砂、石量關系
|
漿體 /L |
膠結材 / ㎏ |
粉體 /L |
水 /L |
空氣 /L |
砂石 /L |
用( 1 )式計算 |
|
砂率 /% |
石子 /L |
|
260
280
300
320
340
360
380
400
420 |
250
300
340
390
450
520
590
650
700 |
90
110
120
140
160
185
210
235
260 |
170
170
180
180
180
180
170
165
160 |
15
15
15
15
15
15
15
15
15 |
725
705
685
665
645
625
605
585
565 |
41
40
38
36
34
32
30
28
26 |
427
423
425
426
426
425
424
421
418 |
從表 2 的數據發現,當砂率隨膠結材用量的增加而降低時,粗骨料用量大體穩定在某一量值上。其規律是混凝土拌合物的稠度愈干,石子最大粒徑愈大,則堆積密實型連續級配所用的石子量愈多;反之則石子用量愈少。 參照此現象,將五種類型混凝土按堆積密實連續級配公式 (1) 、 (2) 、 (3) 、 (4) 、 (5) 進行計算。將 5~ 25mm 與 5 ~ 20mm 石料分別按 5 ~ 15mm 與 1 5 ~ 25mm 以及 5 ~ 15mm 與 1 5 ~ 20mm 兩個粒級復配,計算出砂率與石子量關系,如表 3 所示。
表 3 不同類型混凝土的砂率與單方石子量
|
石子最大粒徑 / ㎜ |
混凝土
類型 |
砂率 /% |
單方石子量 /L |
單粒級規格 / ㎜ |
|
2 5 ~ 31.5/% |
15 ~ 25/% |
15 ~ 20/% |
5 ~ 15/% |
|
31.5 |
干硬性
低塑性
塑性 |
15
27
35 |
~ 610
~ 530
~ 470 |
25
20
18 |
37
35
33 |
|
38
45
49 |
|
25.0 |
干硬性
低塑性
塑性
流動性
大流動性 |
20
32
40
45
49 |
~ 590
~ 500
~ 430
~ 395
~ 370 |
|
50
44
41
39
38 |
|
50
56
59
61
62 |
|
20.0 |
干硬性
低塑性
塑性
流動性
大流動性 |
24
37
45
50
54 |
~ 280
~ 470
~ 395
~ 360
~ 330 |
|
|
33
29
27
26
25 |
67
71
73
74
75 |
表 3 的數據給人們以啟示,從中得出了混凝土科學配合方面的一些重要信息和規律。 (1) 不同類型混凝上、不同石子最大粒徑的單方石子用量大體穩定在一定數量上。如要求配制的混凝土拌合物稠度硬一些(坍落度小一些),可將單方石子用量較表 3 的數量稍增一些;如要求配制的混凝土拌合物稠度軟一些 ( 坍落度大一些 ) ,則可將單方石子用量較表 5 的數量減少一些。 (2) 從表 1 的連續級配計算可以看出,石子最大粒徑為 25mm 時,粒徑小于 0.16mm 的粉狀顆粒占 8 %~ 9 %;石子最大粒徑為 20mm 時,粒徑小于 0.16mm 的粉狀顆粒占 18 %~ 20 %。故表 3 所列連續級配砂率均為低膠結材(單方膠結材量為 25 0 ~ 300kg )砂率,隨著單方膠結材量的增加,砂率相應降低。不論是大流動性混凝土或其他任何類型的混凝土,砂率都是隨膠結材數量變化而改變的,即使是干硬性混凝土也符合這一規律,砂率都不是一成不變的。 (3) 要取得堆積密實效應,粗骨料必須采取兩個以上粒級混拌的方法,才能使混拌后的粗骨料空隙率小于 38 %。表 3 將石子最大粒徑為 25mm 和 20mm 分別按 2 5 ~ 15mm 與 1 5 ~ 5mm 以及 2 0 ~ 15mm 與 1 5 ~ 5mm 兩個粒級復合的比例列出。從表上數據看,混凝土拌合物的稠度愈軟 ( 流動性大 ) , 5 ~ 15mm 較小顆粒石子用量愈多,但只要在攪拌機進料口處按兩個以上粒級復配,即可配出級配優良的混凝土拌合物。 對此,美國 ACI211.1 標準關于單方石子用量的規定可借鑒。表 4 為 ACIl211 . 1 標準關于單方粗骨料體積的數據。
表 4 單位體積混凝土所含粗骨料體積
|
石子最大粒徑 / ㎜ |
用不同細度模數量 , 每單位體積混凝土內干搗實石子體積 /m 3 |
|
2.4 |
2.6 |
2.8 |
3.0 |
|
10
12.5
20
25
40
50
75
150 |
0.50
0.59
0.66
0.71
0.76
0.78
0.82
0.87 |
0.48
0.57
0.64
0.69
0.74
0.76
0.80
0.85 |
0.46
0.55
0.62
0.67
0.72
0.74
0.78
0.83 |
0.44
0.53
0.60
0.65
0.70
0.72
0.76
0.81 |
以表 4 中兩個數據為例,用細度模數為 2.8 的偏粗中砂,表 4 中石子最大粒徑為 25mm 時,單方石子量為干搗實體積 0.67m 3 ;石子最大粒徑為 20mm 時,單方石子量為干搗實體積 0.62m 3 。美國的骨科均為規模化大生產,粒形與級配均較好,石子空隙率一般均小于 36 %。按空隙率為 36 %計,干搗實體積 0.67m 3 相當于石子實體積 0.6 7 × ( 1 - 0.36)= 0.429m 3 ,于搗實體積 0.62m 3 相當于石子實體積 0.397m 3 ,基本與表 3 中塑性混凝土的石子用量相當。若以此單方石子量配制流動性或大流動性混凝上則石子用量太多,若以此石子量配制路面用低塑性混凝土則石子量又太少。說明 ACI211 . 1 推薦的石子用量主要適用于塑性混凝土,不能適用于不同類型的混凝土。 日本 JASS5 也有類似推薦石子用量的數據(解說表 4.4 ),此處不一一贅敘。 參照 ACI211.1 標準,說明本文將國際上常用的富勒氏連續級配計算式發展為五個計算式,以及設計混凝土配合比時按不同類型混凝土與石子最大粒徑先選定單方石子量而不采取固定砂率的方法是有利于正確設計優質混凝土配合比的。 另外,通過多次拌和試驗發現同樣的砂漿量,膠結材漿體多,砂子少的砂漿較膠結材漿體少,砂子多的砂漿有利于包裹,分割較多一些石子。因此,在設計混凝土配合比時,當膠結材用量大于 40 0 ㎏ /m 3 時,單方石子量可較表 3 的數據增加 3 ~ 5L ;當膠結材用量大于 50 0 ㎏ /m 3 時,石子用量則可增加 5 ~ 10L 。 至于自密實混凝土,我國《自密實混凝土應用技術規程》( CECS203 : 2006 )和《自密實混凝土歐洲指南》明確規定石子最大粒徑為 20mm ,單方石子用量為 28 0 ~ 350L ;日本建筑學會《自密實混凝土施工指南》也明確規定單方石子用量為 28 0 ~ 350L ,但石子最大粒徑可用到 25mm 。這些標準均規定膠結材 ( 含惰性摻合料 ) 的粉體體積不少于 160L ,以確保膠結材漿體的粘聚性。均末規定砂率指標。因而自密實混凝土配合比設計也同樣是,先根據結構物強度、耐久性和自密實施工工藝要求,選擇適宜的水泥品種、水灰比,選擇高效減水劑品種、用量和單方水量,再選擇摻合料(含惰性摻合料)品種、數量,配制出符合要求的漿體;再根據鋼筋間距和模板形狀、尺寸,選定石子最大粒徑及單方用量,進行試拌,通過工藝性試驗、調整后提出生產配合比。
5 、建議建筑工程混凝土粗骨料由名義上的連續級配改為多粒級復配
目前我國建筑工程每年開復工面積以億 m 3 計,混凝土施工量也達數億 m 3 。而混凝土配合比卻處于嚴重落后狀況,不僅落后于歐、美、日本等發達國家,也落后于國內的水利、交通等行業。我國水利工程混凝土的粗骨料多為三級配、四級配,道橋工程混凝土多為二級配、三級配,惟獨建筑工程混凝土至今從南方到北方仍以連續級配的名義進行多粒級混合料的生產、銷售。 事實上,任何混凝土均不可能在骨料生產地拌制。粗骨料經過運輸、倒運,必定打亂了原來的級配。經倒運后的粗骨料不論大顆粒集中的部分或小顆粒集中的部分,其空隙率均大于原級配,從而導致所配制的混凝土不但談不上密實堆積,而且漿體忽多忽少,極易離析泌水,不僅影響施工性,而且影響混凝土強度不均勻,抗滲性、耐久性降低,漿體搭配不穩定,導致增加裂縫的幾率。 鑒于國內建筑業的砂、石生產,遠沒有達到發達國家的規模化大生產,多處于一家一戶的小生產狀況,而且多采用顎式破碎機,石子粒形很差,更談不上科學的級配,只能供應最大粒徑為 25mm 或最大粒徑為 20mm 名義上稱為連續級配的混合石料。對于這種混合石料,如果采取二級配,例如 5 ~ 25mm 的混合石子在攪拌機進料口處改用 5 ~ 15mm 與 1 5 ~ 25mm 二級配,將 5 ~ 20mm 混合石料在攪拌機進料口處改用 5 — 15mm 與 1 5 ~ 20mm 二級配,就不但可以配成級配良好的骨、料,而且基本達到最密實堆積的級配。僅此一項措施,就可以大大改善當前建筑工程混凝土質量不穩定的千個重大病害,也是針對我國建筑業砂、石生產落后方式的一劑良方。 筆者曾訪問過一些混凝土公司,對目前這種 5 ~ 20mm 和 5 ~ 25mm 混合料對混凝土質量的不利影響均感頭疼,若將供貨石子改為 5 ~ 15mm 、 1 5 ~ 20mm 和 15~ 25mm 三種規格,攪拌站料場布置并不困難,而對混凝土質量則有較大的改善。至于砂、石生產商則完全可以按規定規格生產、供貨,不存在任何困難。 為此,建議通過修訂混凝土配合比設計規程,明確規定石子最大粒徑大于 20mm 時,必須用兩個以上粒級復配,以改變建筑工程混凝土質量落后于水利、交通、市政工程的現狀。
6 、結語 在上世紀 50 年代以前,混凝土配合比主要是水泥、砂、石和水的比例,而且當時施工的基本上都是低塑性混凝土,水灰比為 0. 6 ~ 1.1 ,因而配合比問題比較簡單,由料斗計量改為重量比已是一大進步。 隨著高效減水劑的誕生,降低水灰比提高混凝土強度成為必然發展趨勢。在水灰比逐漸降低的過程中,以大量摻合料提高混凝土密實性的高性能混凝土隨之出現。進一步發展出現自密實混凝土,影響混凝土配合比規律的因素較前復雜多了。今天來思考混凝土這種多元多相非勻質水泥基復合工程材料的配合比問題,主要注意力應放在膠結材漿體與砂、石的關系上,重點則在于配制出符合施工工藝要求同時符合硬化混凝土強度、耐久性的膠結材漿體。同時必須重視高性能外加劑對于水泥、各種摻合料的適應性和減水性能,在此基礎上才能確定單方用水量。隨著單方用水量的確定,水泥、其他摻合料用量隨之確定,即可配制出符合混凝土諸多性能要求的膠結材漿體。這是混凝土配合比設計最重要的一步。 對于堆積密實性原則,筆者經過反復探索研究,將國內外常用的富勒氏連續級配計算式按不同類型混凝土建立為五個計算式,是本文的創新,應有利于合理設計優質混凝土配合比。 總之,合理設計優質混凝土配合比,首先要根據結構物強度、耐久性與施工性的要求設計膠結材漿體,其次按環境與耐久性設定空氣量。在膠結材漿體體積與空氣體積確定后,剩余的空間便是砂、石體積,再根據堆積密實原則針對不同類型混凝土與石子最大粒徑,提出建立的五個連續級配計算式求得最適宜的單方石子量。基于混凝土拌合物的堆積密實性與流變性的規律,砂率必然隨膠結材漿體量的增減而變化,通過本文論證,設計混凝土配合比時,不宜以砂率為主導參數,而宜根據不同類型混凝土和石子最大粒徑按堆積密實原則選用適宜的單方石子量。這樣,除去膠結材漿體體積、空氣和石子體積,便是砂子體積。 依據堆積密實原則,砂子宜用比粒度為 5 (相當于細度模數 2.6 ~ 3.0 )的偏粗中砂,如用不同細度的砂,可用比粒度計算出增減砂子數量,相應適當調整石子用量。另外,在混凝土配制技術研究中,許多試驗的結論認為,骨料表面吸附水分不參與水泥水化,故歐美等國家標準均規定以自由水與水泥用量之比為水灰比,許多國家規范均要求測砂、石吸水率,這一點也值得我們借鑒。
混凝土泵送劑 JC473—2001
1 范圍 本標準規定了混凝土泵送劑的定義、技術要求、試驗方法、檢驗規則、包裝、出廠、貯存與退貨等。 本標準適用于水泥混凝土中摻用的固體或液體泵送劑 ( 以下簡稱泵送劑 ) 。
2 引用標準 下列標準所含的條文,通過在本標準中引用而構成為本標準的條文。本標準出版時,所示版本均為有效。所有標準會被修訂,使用本標準的各方應探討使用下列標準最新版本的可能性。
GB/T176 — 1996 水泥化學分析方法 (eqv ISO 680 : 1990) GB 8075 — 1987 混凝土外加劑分類、命名與定義 GB 8076 — 1997 混凝土外加劑 GB/T 8077--2000 混凝土外加劑勻質性試驗方法 GBJ 80 — 1985 普通混凝土拌合物性能試驗方法 JGJ/T 55 — 1996 普通混凝土配合比設計規程
3 定義 本標準采用下列定義。
3 . 1 泵送劑 泵送劑的定義見 GB/T 8075 。
3 . 2 基準混凝土 按照本標準試驗條件規定配制的不摻泵送劑的混凝土。
3 . 3 受檢混凝土 按照本標準試驗條件規定配制的摻泵送劑的混凝土。
4 技術要求 4 . 1 泵送劑的勻質性 泵送劑勻質性應符合表 1 的要求。
表 1 均質性指標
|
試驗項目 |
指標 |
|
含固量 |
液體泵送劑:應在生產廠控制值相對量的 6% 之內 |
|
含水量 |
固體泵送劑:應在生產廠控制值相對量的 10% 之內 |
|
密度 |
液體泵送劑:應在生產廠控制值 的± 0.02g / ㎝ 3 之內 |
|
細度 |
固體泵送劑: 0.31 5 ㎜篩篩余應小于 15% |
|
氯離子含量 |
應在生產廠控制值相對量的 5% 之內 |
|
總堿量( Na 2 O+0.658K 2 ) |
應在生產廠控制值相對量的 5% 之內 |
|
水泥凈漿流動度 |
應不小于生產廠控制值的 95% |
4 . 2 受檢混凝土的性能指標 受檢混凝土的性能應符合表 2 的要求。
表 2 受檢混凝土的性能指標
|
性能指標
項目 |
一等品 |
合格品 |
|
坍落度增加值,㎜,≥ |
100 |
80 |
|
常壓泌水率比, % ,≤ |
90 |
100 |
|
壓力泌水率比, % ,≤ |
90 |
95 |
|
含氣量, % ,≤ |
4.5 |
5.5 |
|
坍落度保留值,㎜,≥ |
30min |
150 |
120 |
|
60min |
120 |
100 |
|
抗壓強度比, % ,≥ |
3d |
90 |
85 |
|
7d |
90 |
85 |
|
28d |
90 |
85 |
|
收縮率比, % ,≤ |
28d |
135 |
135 |
|
對鋼筋的銹蝕作用 |
應說明對鋼筋有無銹蝕作用 |
4 . 3 其他 當用戶對泵送劑有特殊要求時,需要進行的補充試驗項目、試驗方法及指標由供需雙方協商決定。
5 試驗方法 5 . 1 泵送劑的勻質性 勻質性試驗按照 GB 8077 規定進行。堿含量按照 GB 8076 附錄 D 規定進行。
5 . 2 受檢混凝土的性能 5 . 2 . 1 材料 混凝土所用材料應符合 GB 8076 — 1997 中 5.1 的規定。但砂為二區中砂,細度模數為 2.4 ~ 2.8 ,含水率小于 2 %。
5 . 2 . 2 配合比 基準混凝土配合比按 JGJ/T 55 進行設計,受檢混凝土與基準混凝土的水泥、砂、石用量相同。 5 . 2 . 2 . 1 水泥用量:采用卵石時, (380 ± 5)kg/m 3 ,采用碎石時, (390 ± 5)kg/m 3 。 5 . 2 . 2 . 2 砂率: 44 %。 5 . 2 . 2 . 3 泵送劑摻量:按生產單位推薦的摻量。 5 . 2 . 2 . 4 用水量:應使基準混凝土坍落度為 (100 土 10 ) ㎜ ,受檢混凝土坍落度為 (210 土 10 ) ㎜ 。
5 . 2 . 3 攪拌 應符合 GB 8076 — 1997 中 5.3 條的規定。
5 . 2 . 4 成型與養護條件 各種混凝土材料至少應提前 24h 移人試驗室。材料及試驗環境溫度均應保持在 (20+3) ℃,并在此溫度下靜停 (24 ± 2)h 脫模。如果是緩凝型產品,可適當延長脫模時間。然后在 (20 土 3) ℃、相對濕度大于 90 %的條件下養護至規定齡期。
5 . 2 . 5 試樣項目及數量 試驗項目及數量見表 3 。
表 3 試驗項目及數目
|
試驗項目 |
試驗類別 |
混凝土拌合批數 |
每批取樣數目 |
受檢混凝土總取樣數 |
基準混凝土總取樣數 |
|
坍落度增加值 |
新拌混凝土 |
3 |
1 次 |
3 次 |
3 次 |
|
常壓泌水率比 |
新拌混凝土 |
3 |
1 塊 |
3 塊 |
3 塊 |
|
壓力泌水率比 |
新拌混凝土 |
|
含氣量 |
新拌混凝土 |
|
坍落度保留值 |
新拌混凝土 |
|
抗壓強度比 |
硬化混凝土 |
9 塊 |
27 塊 |
27 塊 |
|
收縮率比 |
硬化混凝土 |
1 塊 |
3 塊 |
3 塊 |
|
鋼筋銹蝕 |
新拌或硬化砂漿 |
1 塊 |
5 . 2 . 6 混凝土拌合物性能 5 . 2 . 6 . 1 坍落度增加值 坍落度按照 GBJ 80 進行試驗,但在試驗受檢混凝土坍落度時,分兩層裝入坍落度筒內,每層插搗 15 次。結果以三次試驗的平均值表示,精確到 1mm 。坍落度增加值以水灰比相同時受檢混凝土與基準混凝土坍落度之差表示,精確至 lmm 。
5 . 2 . 6 . 2 常壓泌水率比 按照 GB 8076 — 1997 中 5.5.2 進行試驗。
5 . 2 . 6 . 3 壓力泌水率比 5 . 2 . 6 . 3 . 1 儀器 壓力泌水儀,主要由壓力表、活節螺栓、篩網等部件構成,如圖 1 所示。其工件活塞壓強度為 3.0MPa ,工作活塞公稱直徑為 125mm ,混凝土容積為 1.66L ,篩網孔徑為 0.335mm 。
5 . 2 . 6 . 3 . 2 試驗步驟 將混凝土拌合物裝入試料筒內,用搗棒由外圍向中心均勻插搗 25 次,將儀器按規定安裝完畢。盡快給混凝土加壓至 3.0MPa ,立即打開泌水管閥門,同時開始計時,并保持恒壓,泌出的水接人量筒內。加壓 10s 后讀取泌水量 V 10 ,加壓 140s 后讀取泌水量 V 140 。
5 . 2 . 6 . 3 . 3 結果計算與評定 a) 壓力泌水率按式 (1) 計算:
(1)
式中 B p ——壓力泌水率,%; Vl 10 一—加壓 10s 時的泌水量, mL ; V 140 ——加壓 140s 時的泌水量, mL ; 結果以三次試驗的平均值表示,精確至 0.1 %。 b) 壓力泌水率比按式 (2) 計算,精確到 1 %:
(2)
式中 B b ——壓力泌水率比,% B po ——基準混凝土壓力泌水率,% Bpa ——受檢混凝土壓力泌水率,%
5 . 2 . 6 . 4 含氣量 按照 GB 8076 — 1997 中 5.5.3 進行試驗。
5 . 2 . 6 . 5 坍落度保留值 出盤的混凝土拌合物按 GBJ 80 進行坍落度試驗后得坍落度值 Ho ;立即將全部物料裝入鐵桶或塑料桶內,用蓋子或塑料布密封。存放 30min 后將桶內物料倒在拌料板上,用鐵鍬翻拌兩次,進行坍落度試驗得出 30min 坍落度保留值 H 30 ;再將全部物料裝入桶內,密封再存放 30min ,用上法再測定一次,得出 60min 坍落度保留值 H 60 。坍落度按照 GBJ 80 進行試驗。
5 . 2 . 7 硬化混凝土性能 5 . 2 . 7 . 1 抗壓強度比按照 GB 8076 — 1997 中 5.6.1 進行試驗。 5 . 2 . 7 . 2 收縮率比按照 GB 8076 — 1997 中 5.6.2 進行試驗。 5 . 2 . 7 . 3 鋼筋銹蝕采用鋼筋在新拌或硬化砂漿中陽極極化電位曲線來表示,測定方法按 GB8076 附錄 B 、附錄 C 規定進行。
6 檢驗規則 6 . 1 取樣及編號 6 . 1 . 1 試樣分點樣和混合樣。點樣是在一次生產的產品中所得的試樣,混合樣是三個或更多的點樣等量均勻混合而取得的試樣。 6 . 1 . 2 生產廠應根據產量和生產設備條件,將產品分批編號,年產量不小于 500t ,每一批號為 50t ;年產 500t 以下,每一批號為 30t ,每批不足 50t 或 30t 的也按一個批量計,同一批號的產品必須混合均勻。 6 . 1 . 3 每一批號取樣不小于 0.2t 水泥所需用的外加劑。
6 . 2 試樣及留樣 每批號取得的試樣應充分混勻,分為兩等份,一份進行出廠檢驗。另一份要密封保存至有效期結束,以備有疑問時提交國家指定的檢驗機構進行復驗或仲裁。
6 . 3 檢驗分類 6 . 3 . 1 電廠檢驗:每批號泵送劑檢驗項目按表 4 規定進行檢驗。
表 4 出廠泵送劑檢驗項目
|
固體泵送劑檢驗項目 |
液體泵送劑檢驗項目 |
|
含水量 |
含固量 |
|
細度 |
密度 |
|
水泥凈漿流動度 |
水泥凈漿流動度 |
注:含硫酸鈉的泵送劑應按 CB / T 8077 進行硫酸鈉含量試驗。
6 . 3 . 2 型式檢驗 包括勻質性指標和混凝土性能指標。有下列情況之一者,應進行型式檢驗:
a) 新產品或老產品轉廠生產的試制定型鑒定; b) 正式生產后,如原料、工藝有較大改變,可能影響產品性能時; c) 正常生產時,一年至少進行一次檢驗; d) 產品長期停產后,恢復生產時; e) 出廠檢驗結果和上次型式檢驗結果有較大差異時; f) 國家質量監督機構提出進行型式檢驗要求時。
6 . 4 判定規則 產品經檢驗各項性能均符合本標準技術要求,則判定該批號泵送劑為相應等級的產品。如不符合上述要求時,則判定該批號泵送劑為不合格品。
6 . 5 復驗 復驗以封存樣進行。如果使用單位要求現場取樣,應在生產和使用單位人員在場的情況下于現場抽取三個以上等量試樣混合得到平均樣,復驗按照型式檢驗項目檢驗。
7 包裝、出廠、貯存及退貨 7 . 1 包裝 粉狀泵送劑應采用有塑料襯里的編織袋,袋重 20 — 50kg ,液體泵送劑應采用塑料桶、金屬桶包裝或用槽車運輸。 所有包裝的容器上均應在明顯的位置注明以下內容;產品名稱、型號、凈質量或體積 ( 包括含量或濃度 ) 、生產廠名、執行標準。生產日期、有效期限及出廠批號應在產品合格證中予以說明。
7 . 2 產品出廠 凡有下列情況之一者,不得出廠:技術文件 ( 產品說明書、合格證、檢驗報告 ) 不全、包裝不符、質量不足、產品受潮變質以及超過有效期限。 生產廠隨貨提供說明書的內容應包括:產品名稱及型號、主要特性及成分、適用范圍及推薦摻量、泵送劑總堿量、氯離子含量、有無毒性、易燃狀況、貯存條件及有效期、使用方法及注意事項。
7 . 3 貯存 泵送劑應存放在專用倉庫或固定的場所并妥善保管,以易于識別和便于檢查、提貨為原則。
7 . 4 退貨 7 . 4 . 1 使用單位在規定的存放條件和有效期限內,經復驗發現泵送劑性能與本標準不符時,則應予退回或更換。 7 . 4 . 2 實際的質量、體積與規定的質量體積 ( 按固形物計 ) 有 2 %以上的差異時,可以要、求退貨或補足。粉狀的可取 50 袋,液體的可取 30 桶 ( 其他包裝形式由雙方協商 ) ,稱量取平均值計算。 7 . 4 . 3 凡出廠技術文件不全,以及發現實物質量與出廠技術文件不符合,可退貨。
混凝土外加劑中釋放氨的限量 GBl8588—2001
1 范圍 本標準規定了混凝土外加劑中釋放氨的限量。 本標準適用于各類具有室內使用功能的建筑用、能釋放氨的混凝土外加劑,不適用于橋梁、公路及其他室外工程用混凝土外加劑。
2 規范性引用文件 下列文件中的條款通過本標準的引用而成為本標準的條款。凡是注日期的引用文件,其隨后所有的修改單 ( 不包括勘誤的內容 ) 或修訂版均不適用于本標準,然而,鼓勵根據本標準達成協議的各方研究是否可使用這些文件的最新版本。凡是不注日期的引用文件,其最新版本適用于本標準。 GB/T 8075 混凝土外加劑的分類、命名與定義。
3 術語和定義 GB/T 8075 確立的以及下列術語和定義適用于本標準。 混凝土外加劑 concrete admixtures 在拌制混凝土過程中摻入,用以改善混凝土性能的物質。
4 要求 混凝土外加劑中釋放氨的量≤ 0.10 % ( 質量分數 ) 。
5 試驗方法 5 . 1 取樣和留樣 在同一編號外加劑中隨機抽取 1kg 樣品,混合均勻,分為兩份,一份密封保存三個月,另一份作為試樣樣品。 5 . 2 試驗方法 按附錄 A 進行。
6 檢驗規則 6 . 1 本標準所列技術要求內容為型式檢驗項目 6 . 1 . 1 在正常生產情況下,每年至少進行一次型式檢驗。 6 . 1 . 2 有下列情況之一時,應進行型式檢驗: 一新產品的試制定型時; 一產品異地生產時; 一生產工藝及其原材料有較大改變時。
6 . 2 試驗結果的判定 試驗結果符合第 4 章的要求判為合格。
附錄 A ( 規范性附錄 ) 混凝土外加劑中釋放氨的測定 蒸餾后滴定法
A . 1 原理 從堿性溶液中蒸餾出氨,用過量硫酸標準溶液吸收,以甲基紅—亞甲基蘭混合指示劑為指示劑,用氫氧化鈉標準滴定溶液滴定過量的硫酸。
A . 2 試劑 A . 2 . 1 本方法所涉及的水為蒸餾水或同等純度的水。 A . 2 . 2 本方法所涉及的化學試劑除特別注明外,均為分析純化學試劑。 A . 2 . 3 鹽酸: 1 + 1 溶液。 A . 2 . 4 硫酸標準溶液: c(1/2H 2 SO 4 )=0.1moL/L 。 A . 2 . 5 氫氧化鈉標準滴定溶液: c(NaOH)=0.1moL/L 。 A . 2 . 6 甲基紅 - 亞甲基蘭混合指示液:將 50mL 甲基紅乙醇溶液 ( 2g /L) 知 50mL 亞甲基蘭乙醇溶液 ( 1g /L) 混合。 A . 2 . 7 廣泛 pH 試紙。 A . 2 . 8 氫氧化鈉。
A . 3 儀器設備 A . 3 . 1 分析天平:精度 0.001g 。 A . 3 . 2 500mL 玻璃整流器。 A . 3 . 3 300mL 燒杯。 A . 3 . 4 250mL 量筒。 A . 3 . 5 20mL 移液管。 A . 3 . 6 50mL 堿式滴定管。 A . 3 . 7 1000W 電爐。
A . 4 分析步驟 A . 4 . 1 試樣的處理 固體試樣需在干燥器中放置 24h 后測定,液體試樣直接稱量。 將試樣攪拌均勻,分別稱取兩份各約 5g 的試料,精確至 0.001g ,放入兩個 300mL 燒杯中,加水溶解,如試料中有不溶物,采用 A . 4 . 1 . 2 步驟。
A . 4 . 1 . 1 可水溶的試料 在盛有試料的 300mL 燒杯 ( 丸 3 . 3) 中加入水,移入 500mL 玻璃蒸餾器 (A . 3 . 2) 中,控制總體積 200mL ,備蒸餾。
A . 4 . 1 . 2 含有可能保留有氨的水不溶物的試料 在盛有試料的 300mL 燒杯 (A . 3 . 3) 中加入 20mL 水和 10mL 鹽酸溶液 (A . 2 . 3) ,攪拌均勻,放置 20min 后過濾,收集濾液至 500mL 玻璃蒸餾器 (A . 3 . 2) 中,控制總體積 200mL ,備蒸餾。
A . 4 . 2 蒸餾 在備蒸餾的溶液中加人數粒氫氧化鈉 (A . 2 . 8) ,以廣泛試紙 (A . 2 . 7) 試驗,調整溶液 pH>12 ,加入幾粒防爆玻璃珠。 準確移取 20mL 硫酸標準溶液 (A . 2 . 4) 于 250mL 量筒 (A . 3 . 4) 中,加入 3 ~ 4 滴混合指示劑 (A . 2 . 6) ,將蒸餾器餾出液出口玻璃管插入量筒底部硫酸溶液中。 檢查蒸餾器連接無誤并確保密封后,加熱蒸餾。收集蒸餾液達 180mL 后停止加熱,卸下蒸餾瓶,用水沖洗冷凝管,并將洗滌液收集在量筒中。
A . 4 . 3 滴定 將量筒中溶液移人 300mL 燒杯中,洗滌量筒,將洗滌液并人燒杯。用氫氧化鈉標準滴定溶液 (A . 2 . 5) 回滴過量的硫酸標準溶液,直至指示劑由亮紫色變為灰綠色,消耗氫氧化鈉標準滴定溶液的體積為 (V 1 ) 。
A . 4 . 4 空白試驗 在測定的同時,按同樣的分析步驟、試劑和用量,不加試料進行平行操作,測定空白試驗氫氧化鈉標準滴定溶液消耗體積 (V 2 ) 。
A . 5 計算 混凝土外加劑樣品中釋放氨的量,以氨 (NH , ) 質量分數表示,按下式計算:

式中 X 氨 ——混凝土外加劑中釋放氨的量,單位為質量分數 ( % ) ; c ——氫氧化鈉標準溶液濃度的準確數值,單位為摩爾每升 (mol / L) ; V 1 ——滴定試料溶液消耗氫氧化鈉標準溶液體積的數值,單位為毫升 (mL) ; V 2 ——空白試驗消耗氫氧化鈉標準溶液體積的數值,單位為毫升 (mL) ; 0.01703 ——與 1.00mL 氫氧化鈉標準溶液 [c(NaOH)=1.000mol/L] 相當的以克表示的氨的質量; m ——試料質量的數值,單位為克 (g) 。 取兩次平行測定結果的算術平均值為測定結果。兩次平行測定結果的絕對差值大于 0.01 %時,需重新測定。
[ 應用實例 5]
商品混凝土的質量控制
目前建筑市場上有些陳舊的觀念,影響到商品混凝土的發展和應用。在商品混凝土的應用中,只強調商品混凝土公司應如何保證混凝土質量,當然這也是必要的,而一旦出現混凝土質量問題,就歸結到混凝土生產單位,往往忽視了混凝土施工應用單位應盡的責任和義務,以至造成供需雙方許多不必要的矛盾和誤會。眾所周知,商品混凝土不是最終成品,是半成品;混凝土生產和應用單位都應遵循國家標準、規范進行控制,才能確保混凝土質量。一些生產和應用單位對商品混凝土的性能和應用方法等同于普通混凝土。因此,很有必要普及和提高對商品混凝土知識的學習,尤其是商品混凝土發展較晚的地區或單位,更應加強商品混凝土性能的宣傳和學習;更新觀念,加強技術管理和質量控制,以利商品混凝土技術健康發展。
一、商品混凝土原材料控制
1 .水泥是商品混凝土應用材料之首。目前我國的水泥產品結構為“三高”水泥,高細度、高早強、高等級,“三高”的存在,為應用水泥單位提出了新的研究課題,必須采取技術措施,變“三高”為“三低”。這就要在商品混凝土中摻入適量的摻合料。目前,我國有關標準規定粉煤灰在混凝土中摻量不能大于 25 %,對預應力混凝土中的摻量有更為嚴格的限制,這是由于過去沒有減水劑和粉煤灰質量低等原因,限制了粉煤灰的摻量。如今,不但有了減水劑,并且高效減水劑的應用也很普遍,而水泥又采用了 ISO 國標標準,水泥質量有了大幅度提高,因此,應加大粉煤灰在混凝土中的摻量,而高性能混凝土對摻合料的摻量要求可達 50 %以上,預計今后摻合料將成為混凝土材料的主料,而水泥則成為摻合料了。
2 .碎石針片狀顆粒含量必須嚴格限制。而個別的單位從經濟利益考慮,選擇鄂式破碎機破碎的碎石,其針片狀顆粒含量較大,直接影響到商品混凝土質量。目前大部分碎石生產單位都更新了設備,淘汰了鄂式破碎機,使用錘式或反擊式破碎機,其產品質量高,石子粒形好,接近方或圓形,針片狀顆粒含量很小,適宜配制泵送商品混凝土或高強泵送混凝土。 泵送混凝土規定針片狀含量不宜大于 10 %,一旦大于標準要求,對混凝土質量就有較大影響。通過試驗得知:
(1) 直接影響混凝土和易性、粘聚性,針片狀顆粒含量在 10 %、 15 %、 20 %、 25 %時,可分別降低混凝土強度 3.3 %、 9.9 %、 13.3 %、 16.8 %;
(2) 影響混凝土耐久性,增加骨料和混凝土空隙率,浪費水泥;
(3) 造成混凝土用水量增加,加大混凝土變形,使新拌混凝土坍落度損失加快,易堵泵、堵管。
3 .石子粒徑越大配制的混凝土強度就越高嗎 ? 錯。混凝土強度隨石子粒徑的加大而下降,混凝土滲透性隨石子粒徑增大而增大。顆粒小的石子存在缺陷的幾率小,相對比較致密;破碎時,消除了薄弱部分,故石子本身強度比大顆粒的高。小顆粒的石子還可降低骨料與水泥石界面的應力差;水泥漿與單個石子界面的過渡層周長和厚度都小,難以形成較大缺陷。小石子增加水泥漿的粘結面積,改善了混凝土的孔結構,使粘結強度提高;在混凝土拌合物中,大石子下沉速度快,造成混凝土內部分布不均勻,影響混凝土的強度。 從混凝土強度高低的依據分析, C25 以下混凝土強度主要取決于砂漿強度, C25 ~ C40 混凝土強度主要由石子和砂漿強度共同承擔, C50 以上混凝土主要靠混凝土界面粘結強度和粗骨料本身強度。因此, C40 以下混凝土應用最大粒徑的粗骨料不宜超過 40mm , C50 ~ C60 混凝土最大石子粒徑不宜超過 31.5mm , C60 ~ C70 不宜超過 25mm , C70 ~ C80 不宜超過 20mm 等。因此,影響混凝土強度主要因素是石子的形狀、粒徑、表面特征、級配、吸水率和膨脹系數等。
4 .石屑 ( 石粉 ) 的應用。天然混合砂石經水沖洗后,不只是沖洗掉泥,還將砂中的細粉料 (0.31 5 ~ 0.16mm ) 顆粒沖洗掉,泵送混凝土應用水洗粗砂很不利,因此建議應用水冼粗砂時,摻入砂石總重的 3 %~ 5 %的石粉為宜,即混凝土摻入石粉為 5 0 ~ 10 0 ㎏ /m 3 。摻入后尚可相應減少膠凝材料用量和增加混凝土的可泵性、保水性、粘聚性,改善混凝土性能,有利于混凝土泵送施工。
二、商品混凝土配合比控制
1 .商品混凝土生產一般摻入摻合料以改善混凝土的各種性能,摻入粉煤灰的同時,再摻入磨細礦渣粉或其他摻合料,即兩種以上的摻合料,稱為復摻技術。應用該技術時,可產生單一摻合料不能有的疊加效應,發揮兩種摻合料的更大優勢,在強度上有一定互補作用;復摻不是 1 + 1=2 ,而是 1+1>2 ,將產生 1 + 1=3 的技術經濟效益。這一論點,已從試驗和實踐應用中證明。
2 .有人認為混凝土強度增長越快越好,混凝土早強越高越好,實際是混凝土強度增長越快危害越大,混凝土越早強,越不利于混凝土耐久性。還有人認為混凝土應用水泥強度越早強越好,水泥用量越多越安全,這些認識都是錯誤的,水泥強度等級的高低應和混凝土強度等級高低相匹配。混凝土強度增長應緩慢均勻增長,不宜太快、太早。如果混凝土早強必然要加大水泥用量,產生較高的水化熱,對混凝土強度增長不利。一般混凝土養護溫度不宜超過 40 ℃ ,如溫度過高,對混凝土后期強度發展很不利。據有關資料介紹,混凝土養護溫度在 6 ~ 1 0 ℃ 內為優,對混凝土強度發展及長期耐久性等都大有益處。 不少施工人員為加快施工速度,要求 3d 或 7d 達到設計強度,這恰恰違反了水泥水化理論,混凝土早強恰恰是混凝土結構早期開裂和耐久性降低的主要原因之一。
3 .實踐證明:水泥用量也不能偏低,尤其是泵送混凝土更要有一定數量的膠凝材料 ( 這里并不是指多加水泥,可摻入—定量的摻合料 ) ,如果膠凝材料少,骨料擠在—起,擠緊、卡死、阻力增加,造成堵塞。水泥用量如果偏多,又可增加混凝土的內摩擦,泵送壓力增加,惡化了混凝土的可泵性。因此,水泥膠凝材料數量應通過試驗確定其最佳用量。
4 .有人認為坍落度越大越好,混凝土越稀越易于施工。增加坍落度必然要多加水,混凝土用水增多,其水灰比增大,混凝土強度越不能保證;混凝土水灰比是混凝土強度的決定因素,用水加大,坍落度增大,不但保證不了混凝土質量,還易離析不易施工。 優質混凝土應是混凝土和易性、保水性、粘聚性好,易于施工,并不是混凝土越稀越易于施工。通過試驗得知用水增加 5 ㎏ /m 3 ,混凝土坍落度可增加 20mm 左右;而混凝土 28d 強度要降低 1 ~ 3MPa 左右;用水增加 l 0kg /m 3 , 28d 強度要降低 3~5MPa 。
5 .對泵送混凝土而言,優質的混凝土也不是坍落度越大越好。一般泵送混凝上以 16 0 ~ 180mm 坍落度為優, 14 0 ~ 16 0 mm 和 18 0 ~ 200mm 坍落度為良, 200mm 以上和 140mm 以下坍落度為差,易造成水泥漿流失、離析或干稠不易泵送,易堵泵、堵管,還會影響混凝土后期強度增長和耐久性能等。 通過實踐確定, C15 ~ C40 混凝上坍落度 14 0 ~ 160mm 為良, 16 0 ~ 180mm 為優, 18 0 ~ 200mm 為良, 200mm 以上可造成混凝土堵塞; C50 ~ C70 混凝土坍落度 16 0 ~ 180mm 為良, 180~20 0 ㎜ 為優, 200~ 220mm 為良, 230mm 以上可造成堵塞。
6 .泵送混凝土的砂率并不是越大越好,一旦高于最佳砂率值 3 %以上,混凝土強度就會下降約 4 %。對中砂而言,泵送混凝土最佳砂率在 39 %~ 43 %范圍內為宜。 泵送混凝土最佳砂率的確定,應根據砂的細度模數大小和 0.315mm 以下顆粒含量多少確定,一般而言,細度模數 2. 3 ~ 2.6 偏細中砂的最佳砂率應為 39 %~ 41 %;細度模數 2. 7 ~ 3.0 中砂的最佳砂率應為 41 %~ 43 %;細度模數 3. 1 ~ 3.4 粗砂,最佳砂率 43 %~ 45 %為宜。細度模數 3.5 以上不適宜泵送混凝土使用,如應用,必須采取相應的技術措施。
三、商品混凝土攪拌時間的控制 目前,商品混凝土攪拌時間一般都達不到最低 30s 的時間要求,往往只有 1 0 ~ 20s 的攪拌時間。有人認為卸入到混凝土運輸車后,在路上運輸車還在不停地攪拌,這是錯誤的。運輸車的轉動,是為防止混凝土粘罐,而只有 3 ~ 6 轉 /min 的勻速轉動,并沒有攪拌力,與混凝土在攪拌機內的強力攪拌完全是兩回事,不是一樣的效果。
四、商品混凝土生產、施工存在的部分問題 近幾年我國商品混凝土發展較快,在發展中避免不了會出現這樣或那樣的問題,尤其是發展晚、慢的地區,更會出現一些生產、施工方面的問題。
1 .商品混凝土坍落度太大,一般均在 200mm 以上的坍落度,混凝土振搗人員為省力,在混凝土中隨意加水,更加大了混凝土坍落度。這么大的混凝土坍落度,稍振石子會下沉,漿體上浮,泌水出現,大量塑性裂縫出現,影響混凝土密實及其他性能,泌水失水過多,幾何尺寸減少,混凝土中多余水分蒸發,較易出現干縮裂縫等。
2 .混凝土養護不及時,養護齡期不足,一般均不能滿足規范要求的 7d(14d) 養護時間,混凝土早期脫水嚴重,影響混凝土強度的發展和混凝土的長期耐久性能等。烈日暴曬,大風天氣時.混凝土表面出現一層巧克力硬皮,而內部混凝土尚未初凝,表面的硬皮上裂縫出現。
3 .摻加膨脹劑的混凝土,更要加強早期養護,因膨脹劑結晶鈣礬石形成時,更需水。澆筑 1 ~ 7d 內是膨脹劑混凝土的重要階段,要特別加強混凝土的濕養護; 7 ~ 14d 仍需濕養護,才能發揮混凝土的膨脹效應,否則更易造成混凝土開裂。
4 .施工單位為趕工期,過早拆模,上料承重等出現塑性收縮裂縫。摻膨脹劑的大體積混凝土,更不宜過早拆模,因 3 ~ 5d 時水化熱溫升最高,混凝土抗拉強度最低,如過早拆模,更易開裂,應在混凝土中心和表面溫度基本接近時,才能拆模。
5 .上述問題可采取以下措施加以解決:
(1) 在保證澆筑坍落度的前提下,盡量減少用水量,夏季施工時應用緩凝型的泵送劑;
(2) 選粒形好、級配好、含泥量小、空隙率小的粗細骨料,并優選最佳砂率;
(3) 用Ⅱ級以上粉煤灰和 S75 級以上磨細礦渣粉等進行復摻,避免用礦渣水泥 ( 特殊情況除外 ) ;
(4) 施工時,不能過振、欠振、漏振,要快插慢提振搗棒;
(5) 混凝土接近初凝時應反復抹壓或滾壓,如表面開始硬結,人力抹不動時,可采取二次振搗的方法,反復抹壓、搓壓時,最關鍵的是要掌握混凝土的初凝時間;
(6) 遇到大風或暴雨時,應及時覆蓋、保濕,避免混凝土失水產生裂縫,當混凝土表面出現硬皮時,可用噴壺噴霧水進行表面處理;
(7) 嚴格控制拆模時間,達到拆模強度后,方可拆模,拆模后立即澆水或覆蓋塑料薄膜等進行保濕養護。
五、商品混凝土澆筑入模時間控制目前,商品混凝土從混凝土公司出機后到現場澆筑入模時間,往往超過規定要求,由于運到現場后,不能及時入模,壓車時間較長,造成混凝土坍落度損失加快。一般商品混凝土從出機后應在 90min 內澆筑入模,如不能及時入模,隨著時間的延長,混凝土必然變稠,坍落度損失加快,造成泵送不暢,堵塞現象發生。 要改變上述現象,供需雙方應加強協調配合,根據運距、泵送高度、氣溫、結構部位、施工難易等情況,控制混凝土出機到入模時間,一定要控制在 90min 內為佳,否則就要影響混凝土質量。 對于超過混凝土初凝時間的混凝土應廢棄,即使再加水變稀也不能用。一般不加緩凝劑的商品混凝土,超過 5 ~ 8h 就應廢棄;摻加緩凝劑的混凝土,應根據緩凝時間確定廢棄的時間。
六、泵送混凝土堵管、堵泵原因簡要分析
(1) 膠凝材料總量偏低;
(2) 坍落度過大,造成混凝土離析,泌水嚴重;
(3) 料斗內余料不能低于缸口以下,否則易吸入空氣造成堵塞;
(4) 泵送劑質量差,與水泥相容性差,混凝土和易性、可泵性差;
(5) 運輸車洗罐水未放凈,內有積水,造成泌水、離析嚴重;
(6) 骨料級配不良,針片狀顆粒超標、砂率欠佳;
(7) 混凝土輸送管未進行保溫、隔熱措施,造成混凝土在管內受阻,混凝土在管內已超過初凝時間,失去了混凝土流動性等。
七、結語 大量的科學試驗研究和實踐證明,混凝土抗壓強度高,其他性能就未必高;優質混凝土即是高性能混凝土,按吳中偉教授的提法,應是符合特殊性能組合與均質性要求的混凝土,采用傳統的原材料和一般拌合、澆筑和振搗,不離析,長期力學性能、抗滲性、密實性、水化熱溫升、韌性、體積穩定性好,惡劣環境下的較長壽命的混凝土為優質混凝土,即具有高流動性 ( 工作性 ) 、高強度、高耐久性的三高混凝土,才可成為優質混凝上。 商品混凝土的生產、施工中,影響質量的因素很多,應加強混凝土的質量監控,確保商品混凝土的質量。 |