|
木 鈣 減 水 劑
一、木質素和木質素減水劑的概念
1 、木質素概述 木質素這一名稱是由拉丁文衍生而來的,原意為木材,木質素是由苯丙烷為單元構成的天然聚合物,為樹木的主要成分,是僅次于糖類的最豐富的天然有機聚合物。木質素占針葉樹材重量的 27 ~ 37% ,闊葉樹材重量的 16 ~ 29% (以絕干材為基準)。
木質素是一類由香豆醇、松柏醇和芥子醇三種苯丙烷單體經過酶作用后發生任意偶合反應,脫氫聚合而且成的具有三度空間結構的無定型高聚物,它存在于木質化的植物中。木質素在木材中起粘接作用,比如把木材看作鋼筋混凝土的話,纖維就是鋼筋,木質素就是水泥,木質素在木材中主要起提高強度的作用。就其結構和不均一性而言,是最復雜的天然高聚物。
2 、工業木質素的來源 工業木質素從木材制漿廢液中(極少數由草類制漿中制得)的。目前,世界上僅有兩種商品化的工業木質素,木質素磺酸鹽和硫酸鹽木質素,這兩種工業木質素是亞硫酸法和硫酸鹽法制漿廠的副產品,世界上木質素產品的年產量約為 2000 萬噸。鑒于工業木質素來源于豐富的可再生森林資源,加上它的天然性,同時具有多種性能,使木質素產品在各種工業應用的重要性與日俱增。
3 、木質素磺酸鹽 木質素磺酸鹽又稱為亞硫酸木質素,它是亞硫酸鹽法制漿的副產品,商業上的木質素磺酸鹽是亞硫酸鹽廢液、純化的木質素磺酸鹽或其衍生物。
亞硫酸鹽紙漿廢液的組成
|
成份 |
總固形物 % |
|
針葉材 |
闊葉材 |
|
木質素磺酸鹽 |
55 |
42 |
|
已糖 |
14 |
5 |
|
戊糖 |
6 |
20 |
|
非纖維素碳水化合物 |
8 |
11 |
|
醋酸和甲酸 |
4 |
9 |
亞硫酸鹽法有三種(酸性、堿性、中性),其中最普遍的是酸性亞硫酸鹽法。在酸性亞硫酸蒸煮條件下,木質素磺化成為水溶性物質,同時木質素也稍有脫甲氧基,生成鄰苯二酚和甲基磺酸。一般亞硫酸法均采用酸性亞硫酸法。
二、木鈣減水劑減水增強作用機理 在固體粒子(水泥)、分散介質(水)和溶質(外加劑)構成的分散系中,由于粒子處于不均勻的力場中,因而具有表面自由能,為了使體系趨于穩定,固體粒子的表面能就必須減小,這時表現為在介質中溶質(外加劑)的吸附作用,通過吸附可顯著改變界面能,這種物質通常具有表面活性作用,而木質素磺酸鹽就是一種陰離子表面活性物質。水泥在加水攪拌與凝結硬化過程中,由于水泥礦物帶異性電荷的吸力,或是由于水泥顆粒在溶液中的熱運動,造成棱角碰撞,吸附及粒子間的范德華力作用而引起絮凝狀結構,在這種絮凝結構中,包裹著很多拌和水,從而降低了新混凝土的和易性,為此在施工過程中,為了保持所需的和易性,最好在拌和時,相應地增加用水量,這樣一來勢必使水泥結構形成過多的孔隙,影響混凝土的一系列物理化學性能,但是加入木鈣減水劑后,由于木鈣的憎水基團定向吸附于水泥顆粒表面,這樣使水泥帶有負電荷。具有相同電荷的水泥顆粒在電荷斥力的作用下相互斥離分散,水泥在加水初期形成的絮狀結構變成分散結構,絮凝狀凝聚體內的游離水被釋放出來,從而達到減水的目的。有證據表明,木鈣加入混凝土垢 ,混合 5 分鐘已有 80% 以上的減水劑被吸附,在電子顯微鏡下清晰可見的水化點中心明顯增加,水化物分布均勻,水化晶體纖維較長的各種微觀特征??梢姡?1 )加入木素磺酸鈣,游離水蒸發留下的毛細孔減少,內部結構密實,也就是說,孔隙率的降低顯然有利于混凝土強度的提高;( 2 )加入木素磺酸鈣,改善了水泥的孔隙結構的大小及其分布狀況;( 3 )加入木素磺酸鈣,使結晶生長速度延緩,晶體生長更充分,因而得到更多的纖維狀晶體相互穿插,形成堅強的網絡結構,從而使混凝土強度顯著提高。因此,在混凝土中摻用木鈣減水劑,可減少混凝土拌和物的用水量,降低水灰比,改善和易性,有利于泵送,提高混凝土強度、密實性和耐久性。
三、減水劑優良的原材料和先進的生產工藝及其產品特點:
1 、針葉材亞硫酸法制漿廢液的特征 眾所周知,木質素磺酸鹽干粉的質量決定于其中的木質素含量和它的結構,它直接與亞硫酸鹽法蒸煮過程中所采用的工藝與所用木材材種有關,通過試驗結果看出粘膠纖維漿廢液中木質素磺酸鹽含量高于造紙漿廢液,兩者約相差 6.7% 。 此外,針葉材的化學結構和闊葉材相比也有很大的差異,有人認為,在混凝土施工中摻入針葉材木質素減水劑,引氣作用好,而闊葉材則不然。
2 、木鈣減水劑生產制備工藝 為進一步提高木質素產品質量,在廢液中對高分子部分和低分子部分分別加以利用,生產多品種、性能更好的產品來滿足市場需求。為達到這一目的,我公司分別于一九八七年和一九九一年從丹素 DDS 、 DOW 公司引進了膜分離技術和設備,即超濾( UF )和納濾( NF )設備,引進的超濾膜面積為 780m 2 ,精濾設備膜面積為 1400m 2 ,生產高純度高分子木質素 5000 噸 / 年,普通分子木質素產品 3 萬噸 / 年。木質素磺酸鹽系列有高分子木質素磺酸鈉高效減水劑、低糖、中糖、高糖木質素磺酸鈣及其鈉鹽減水劑,可為用戶提供更多的選擇,滿足不同建筑工程的需求。
( 1 )高效減水劑 粘膠纖維木漿廢液→中和(沉淀)→發酵→超濾→濃縮→噴粉。
( 2 )普通減水劑(低糖:還原糖 8% 以下) 制漿廢液→中和(置換)→沉淀→發酵→納濾→濃縮→加熱除糖(部分除糖)→噴粉 此工藝中如取消置換工序生產的就是木鈣,以下同。
( 3 )普通減水劑(中糖:還原糖 8 ~ 12% ) 制漿廢液→中和(置換)→沉淀→發酵→納濾→濃縮→噴粉
( 4 )普通減水劑(高糖,緩凝減水劑,還原物 >12% ) 制漿廢液→中和(置換)→沉淀→濃縮→噴粉
以上幾種木質素磺酸鹽以其獨物的工藝、原材料以及制漿工藝的不同,有別于其它牌號的同類產品。
3 、木質素減水劑的特點 混凝土減水劑以其獨特先進的工藝及原材料,有別于其它牌號的同類產品。其特點為:
( 1 )由于制備粘膠纖維木漿的特殊工藝,蒸煮徹底,磺化度高,因此,比造紙漿木素溶出量多,而高分子木素也可以溶出。粘膠纖維木漿廢液的木素成分比造紙漿廢液木素磺酸鹽含量高,并且其平均分子量也大,再加上粘膠纖維木漿的主要原材料為白松,因而木素磺酸鹽含量更高,所以其產品減水率要高于用造紙漿廢液生產的減水劑;同時,由于廢液中雜質較少,因而水不溶物也比造紙漿廢液的低。
( 2 )降糖是利用生物發酵,而不是化學除糖,因而產品中的雜質少,純度較其它品牌高,同時,由于采用納濾濃縮技術,在濃縮過程中進一步降低了糖及其它鹽類,純度進一步提高,保證了木質素產品的質量,也使我公司減水劑產品以其較其它品牌減水劑更高的質量及穩定性稱雄于國內,也是唯一的木鈣出口單位。出口創匯也從側面反映了我公司減水劑的質量水平。
4 、木鈣減水劑質量的穩定性 近些年來,一些建筑單位都感到我公司的木質素產品中糖份是一個障礙,而現在我公司生產的木質素磺酸鹽不僅糖份,而且其它指標都得到改善,那么,我公司目前生產的應用于混凝土減水劑的木質素磺酸鈣的質量穩定性如何?這是用戶所關心的一個重要問題,現在僅將我公司去年下半年生產的木質素磺酸鈣的質量情況作一分析,通過下表的質量檢驗結果,我們可以看出,質量是比較穩定的。
木質素磺酸鈣減水劑質量分析
|
分析
項目 |
質量
標準 |
檢 驗 時 間 |
質量分析 |
|
7.9 |
8.21 |
9.1 |
10.15 |
11.8 |
12.8 |
|
|
水份( % ) |
<7 |
4.1 |
4.3 |
4.0 |
5.2 |
5.2 |
4.7 |
|
|
pH |
4.5-5.5 |
4.7 |
4.7 |
4.7 |
5.0 |
5.0 |
4.7 |
|
|
還原物( % ) |
<12 |
11 |
11.5 |
11 |
11.5 |
11.5 |
11.5 |
11.25 |
|
水不溶物( % ) |
<2.0 |
0.2 |
0.37 |
0.25 |
0.34 |
0.34 |
0.34 |
0.32 |
注:水不溶物中 80% 為飽和 CaSO 4 .2H 2 O
四、木鈣減水劑主要性能指標與經濟效果
1 、改善混凝土性能 水水泥用量相同,坍落度與空白混凝土相近,可減少用水量 10 ~ 15% , 28 天強度提高 10 ~ 20% , 1 年強度提高 10% 左右,同時,抗滲、抗凍、耐久性能也明顯提高。
2 、節約水泥 當混凝土的強度和坍落度相近時,可節省水泥 10% 左右,使用 1 噸減水劑可節省 30 ~ 40 噸水泥。
3 、改善混凝土和易性 當混凝土的水泥用量和用水量不變,低塑性混凝土的坍落度可增大兩倍左右(由 3 ~ 5cm 提高到 8 ~ 18cm ),早期強度與未摻者基本接近。
4 、有緩凝作用 摻入 0.25% 的木鈣減水劑后,在保持混凝土坍落度基本一致時,初凝時間普通水泥延緩 1 ~ 2 小時,礦渣水泥 2 ~ 4 小時,終凝時間普通水泥 2 小時,礦渣水泥 2 ~ 3 小時。若不減少用水量而增大坍落度時,或保持相同坍落度而用以節省水泥用量時,則凝結時間延緩程度比減水的更大。
5 、能降低水泥早期水化熱 放熱峰出現的時間比未摻者有所推遲。普通水泥約 3 小時,礦渣水泥約 8 小時,大壩水泥在 11 小時以上,放熱峰最高溫度與未摻者比較,普通水泥略低,礦渣水泥及大壩水泥均低于 3 ℃ 。
6 、混凝土含氣量有所增加 空白混凝土的含氣量為 1% 左右,摻 0.25% 木鈣后的混凝土含氣量為 3.6% 左右。
7 、泌水率減少 在混凝土的坍落度基本一致情況下,摻木鈣的泌水率比不摻者可降低 30% 以上,在保持水灰比不變,增大坍落度的情況下,也因木鈣親水性及引入空氣等原因,泌水率下降。
8 、干縮性能 初期( 1 ~ 7 天)與未摻減水劑的相比,基本接近或略有減小, 28 天及后期(除節約水泥者外),略有增加,但增大值均未超過 0.01% ( 0.01mm /m )。
9 、對鋼筋無銹蝕危害
五、木鈣減水劑的應用范圍和主要用途
木鈣減水劑經過多年在全國推廣使用,證明其對混凝工程的適應性很廣泛。特別適用于以下混凝工程需要:
基礎混凝土 流態混凝土 塑化混凝土
自密實混凝土 大體積混凝土 預應力混凝土
耐油混凝土 抗滲混凝土 防水混凝土
抗蝕混凝土 噴射混凝土 泵送混凝土
加氣混凝土 低溫抗凍混凝土
港工混凝土 水工混凝土
自然養護預制件混凝土
砼建筑接縫不鑿毛專用混凝土
裝飾用緩凝、砂漿、摻用粉煤灰的混凝土。
六、注意事項
1 、嚴格控制,切忌過量
作為普通減水劑使用時的摻量約為 0.2% ;
作為緩凝引氣減水劑使用時的摻量為 0.2 ~ 0.3% ;
作為超緩凝引氣減水劑使用時的摻量為 0.3 ~ 0.5% ;
作為早強劑復合使用時的摻量為 0.05 ~ 0.2% ;
2 、注意施工溫度
因具有緩凝作用,氣溫較低時更明顯,因此對于一般的工業與民用建筑工程,規定日最低溫度 + 5 ℃ 以上放可單獨摻木鈣, 低于 + 5 ℃ 時, 應與早強劑復合使用。
3 、本產品對硬石膏為調凝劑的水泥有時會出現不適應現象,應通過試驗后使用。
4 、對引氣量要求的混凝土,應選擇合適的振搗設備和振搗時間。
木質素磺酸鈣
一、產品介紹 木質素磺酸鈣為亞硫酸鹽木漿廢液的主要成分,它是經先進的生產技術加工制成的具有咖啡色的粉末狀固體,極易溶解于水。它是一種高分子電解質其分子量由 1000-100000 。其中 10000-40000 的分散性尤其有效,普通性的木素磺酸鹽,它具有分枝的和交聯的分子結構。 木質素磺酸鈣具有強力的分解性、粘結性、蟹合性。如上所述由于木質素磺酸鈣的分子量的不同,具有不同程度的分散性,木質素磺酸鈣有水溶性親液膠體性質,質點上帶有電荷,是一種表面活性物質,能吸附在各種固體質點的表面上,更因它是強酸性所成的鹽,所以可以進行離子交換作用,再者因為在木質素磺酸的組織結構上存在著有各種活性基,更能產生內在的聚合作用或與其他化合物發生縮合作用。
基于木質素磺酸鈣具有上述的各種特性,所以可作為混凝土減水劑。水泥料漿稀釋劑、砂型加固劑、農藥乳化劑、選礦分散劑、皮革預鞣劑、陶瓷或耐火材料增塑劑、油井或水壩灌漿凝膠劑 ……. 等等。目前已在我國建筑、水電、冶金、石油、采礦、陶瓷等工業,得到廣泛地應用。
二、木質素磺酸鈣減水劑的質量標準
本公司生產的木質素磺酸鈣減水劑的質量經核定是穩定的
1 、木鈣質量標準 (1) 水份≤ 7 % (2) 水不溶物≤ 2.0 % (3)PH 值: 4-6 (4) 還原物≤ 12 %
2 、木鈣執行標準 GB8076 混凝土外加劑。
3 、木質素磺酸鈣減水摻入混凝土中的用量和溶解方法 木質素磺酸鈣減水劑對水泥的用量為 0.2-0.3 %。一般應用 0.25 %,例如 1 立方米 混凝土中用 400kg 水泥,則摻用木質素磺酸鈣 1.0kg 。 溶解方法:每次將每袋木素磺酸鈣干粉 25kg 溶解于 200 公斤 清水中,充分攪拌,使他完全溶解。為了施工操作方便,可以用定量法,即將溶解好的減水劑一次傾入拌合機中。
4 、木質素磺酸鈣具體用途 (1) 用作建筑混凝土工程減水劑、緩凝劑、能改善和易性,提高工程質量。 (2) 作為粘性劑,可用于鑄造砂型陶瓷和耐火材料的增強劑。 (3) 用作選礦浮選劑和冶煉礦粉粘結劑。 (4) 可用作農藥填充和乳化劑。
1 、 Product Introduction The main ingredient of lignin calcium sulfate is sulfate wood pulp waste. Calcium Sulfate is a kind of power solid with the coffee color made by advanced production technology with good solubility. It is a kind of macromolecule electrolyte with 1000-100000 molecular weight. Among the molecule weight 10000-40000dispersing capability is especially effective. The ordinary lignin sulfonic salt has ramose and intersectant molecular structure. Lignin calcium sulfate features strong dispersing ability, viscosity and adhesion. As said above that the molecular weight of lignin calcium sulfate is different, so it has different degree of dispersing ability. It has the feature of water-solubility hydrophilic pectic with electric charge on the particle. It is a kind of superficial active material and can absorb on the surfaces of all kinds of solid particles. It's a kind of salt produced by the strong acid, so it can be conducted metal hydronium exchange action. All kinds of active genes existing on the organic structure of lignin sulfur acid enable the intrinsic polymeric actions or yield condensation actions with other compounds. Due to the above-mentioned characteristics of lignin calcium sulfate, it can be used as concrete water-reducing material, thinner for cement pulp, sand reinforcement material, pesticide emulsion, mill run dispersant, leather pre-tanning material, plastics adding material for porcelain of fire resistant material, grouting jello for oil well or dam and so on. At present Hengji lignin Calcium Sulfate is widely used in such industries as building industry, water and electricity, metallurgy, pesticide, petroleum, mining and porcelain industries, etc.
2 、 The Application of lignin Calcium Sulfate Product as Water reducing Material for Concrete The functional principium of water-reducing and reinforcement function of the Lignin Calcium Sulfate Product in concrete Lignin calcium sulfate and lignin natrium sulfate water-reducing material is a kind of superficial active material. Adding it into the concrete can make the cement carry negative charge because its hydrophobia gene groups are absorbed to the surfaces of cement granules. The cement granules with the identical electric charge will repel one another under the actions of electric charge repelling forces. Then the flocculate structure of the cement will change into dispersing structure, and the dissociate water within the flocculate agglomerating group will be release so as to obtain the function of water-reducing material. The observation shows that after having added into the concrete, more than 80% lignin calcium sulfate the water-reducing material will be absorbed after mixing for five minutes. The obvious hydrating point under the electric microscope will increase clearly, the hydrate will evenly disperse. And all kinds of microcosmic characteristics of the hydrate crystal fibers will unfold. It can be seen that the adding of lignin calcium sulfate can enable the capillary holes left by dissociate water evaporation much less and the inner structure much thicker. Namely that the reducing of the small opening rate is favorable for the improvement of concrete intensity and it can improve the hole structure sizes of cement and its distribution so as to postpone the growth speed of the crystal and enable more sufficient growth of the crystal. Then more fiber-shaped crystals will intersect with one another and form tough network structure so that the intensity of the cement will be evidently improved. Therefore the blending of lignin calcium sulfate water-reducing material can reduce the water content in the concrete mixture, decrease the proportion of water and ash that is helpful for the pump carrying and can improve the concrete intensity, close-grained degree and durability.
3 、 Main performance parameters and economic effects of Lignin Calcium Sulfate Water-reducing Material 1.Improving the concrete performance When the dosage of the concrete is the same, and the landslide degree is close to the blank concrete, reducing 10-15% water dosage, the strength in 28 days will improve 10-20% and the one year will improve around 10%.
2.Retrenching cement When the strength and the landslide degree are close, it can retrench 10% cement and one ton of water-reducing material will retrench 30-40 tons cements.
3. Improving the concrete's unassuming ability When the cement dosage and water dosage of the concrete do not change, the landslide degree of low plastic concrete can be increased about twice (from 3 -5cm to 8 -18cm ) and the earlier strength and latter strength are close.
4. Having the functions of retarder After mixing 0.25% lignin calcium sulfate water-reducing material, when the landslide degree of concrete are the identical, the early solidification time of the common cement will last 1-2 hour(s) , that of the scoria cement will last 2-4 hours. The final solidification time of the common cement will last 2 hours, that of the scoria cement will last 2-3 hours. If the water dosage unchanged while the landslide degree increased or the landslide degree kept the same to save the cement dosage then delay degree of the solidification time will be larger than that of the water-reducing one.
5. Reducing the early hydrate heat of cement The exothermic pinnacle time is slightly postponed than the unmixed one. The time for the common cement is about 3 hours, that of the scoria cement is about 8 hours and that of the dam cement is above 11 hours, If view of the maximum temperature of the exothermic pinnacle and that of the unmixed one, the temperature of the common cement is slightly lower, those of the scoria cement and the dam cement are both lower than 30C .
6. Gassy contents of the concrete will increase The gassy content of the blank concrete is around 1% that of the concrete mixed with 0.25% lignin calcium sulfate is around 3.6%.
7. The water-seepage rate will reduce When the landslide degree of concrete are the identical, the water-seepage rate of the concrete mixed with lignin calcium sulfate will reduce more than 30% than the concrete unmixed with lignin calcium sulfate. When the proportion of the lignin calcium sulfates and air inhalation.
8. Dry-shrinking performance Compare the dry-shrinking performance of the early water-reducing material (1-7days) with that of the unmixed water-reducing material, the dry-shrinking performance is almost close or reduced slight. The one after 28 days (except to save cement) will increase slightly. But the increased values will not overpass 0.01 %( 0.01mm /m).
9. Increasing the close-grained degree of the concrete and improving the antitransudatory capability of concrete Increase from B=6 degree to B=12-30 degree
10. Non-Chlorine salt is not rust harmful to the reinforcing bars
11. Non-alkaline active materials 4 、 Quality standards of Hengji Lignin Calcium Sulfate Water-reducing The quality of the Lignin calcium Sulfate Water-reducing Material made by our company is proven to be stable.
1. Quantity Standards of Lignin Calcium Sulfate: 1)MOISTURE :≤ 7% 2 ) WATER INSOLUABLE :≤ 2.0% 3)PH VALUE : 4-6 4)REDUCTIVE MATERIAL :≤ 12%
2.main performance parameters lignin calcium : GB8076Concrete additives lignin Calcium through examination 。
3. The dosage and soluble method of the lignin calcium sulfate water-reducing material mixed in the concrete. The dosage of lignin calcium sulfate water-reducing material compared with the ciment is 0.2-0.3%.Generally speaking , it shall be added 0.25% , for, example, one stere concrete will be added 400kg cement, then the mixed lignin calcium sulfate water-reducing material shall be 1.0kg . Soluble method : For each time , dissolve 25kg lignin calcium sulfate power per sack into 200kg water, and make it full soluble after sufficient mixing , For he purpose of convenient operation in the construction, you can use the fixed quantity, i.e., pour the well-dissolved water-reducing material into the mixer one-off.
4. Using metheods of lignin calcium sulfate: 1) Lignin calcium sulfate is used for improving, The water-reducing materials and retarder of concrete engineering's unassuming abillty. 2)Adhesive : It can be used to make porcelain Household utensils and the fire-resistant materials. 3) Lignin calcium of lignin is also used for mill run floatation close and mining pouder adhesive. 4)It's used for filling and emulsion of pesticide.
5 、 The Application Scope and Main Purposes of Hengji Lignin Calcium Sulfate Water-reducing Material After years of popularization and using in all over the country, Our company Exports to many other countries this goods For example : korea Japan Australia Taiwan Hongkong etc. lignin calcium sulfate water-reducing material is proven to be in wide application for the concrete engineering.
1.It?s especially suitable for the following concrete engineering: Basic concrete, fluid concrete, plastic concrete, self close –grained concrete, Largesize concrete, pre-stress concrete, grease-proof concrete, anti-seepage concrete, waterproof concrete, anti-corrupt concrete, spray concrete, pump-carry concrete, aerocrete, low-temperature anti-freezing concrete, port-engineering concrete, water-engineering concrete and prefab components concrete for natural maintenance, special concrete used for the purpose of non-burr-chisel for the iuncture of concrete building , edcorationg concrete for coagulate-postpone, mortar, mixture power coal.
2.Notice (1)Strict control to avoid excessive dosage The mixing dosage when used as the common water-reducing material is 0.2%; The mixing dosage when used as the solidification postponing & air inhaling water-reducing material is 0.2-0.3%; The mixing dosage when used as the super solidification postponing & air inhaling water-reducing material is 0.3-0.5%; The mixing dosage when used as the earlier strong compound is 0.05-0.2%.
(2)Pay attention to the construction temperature The solidification postponing function will be more evident when the temperature is lower . Therefore, when it's used for the ordinary industrial and civil architectural engineering, the lignin calcium sulfate can be mixed when the daily minimum temperature is above + 50C . It shall be mixed with the earlier strong compound when the daily minimum temperature is below + 50C .
(3)This product sometimes is not adaptable for the cement using anhydrite as the solidification-adjusting material, so please test before use.
(4)The concrete with requirement on the air-inhaling quantity shall select suitable smashing equipment and time.

木鈣減水劑對混凝土減水或增加流動度示意圖 |
可以看出,基本結構是苯基丙烷衍生物,木素磺酸鹽分子被認為由任意卷曲的交聯的多芳側鍵所組成,其中含有羰基和苯酚基。接近粒子表面的陰電荷使木素磺酸鹽保持在水中的溶解度。
試劑(分析純或化學純) a 、磷酸氫二鈉( Na2HPO3 ) b 、酒石酸鉀鈉( KNaC4H4O6 · 4H2O ) c 、硫酸銅( CuSO4 · 5H2O ) d 、無水硫酸鈉( Na2SO4 ) e 、碘酸鉀( KIO3 ) f 、碘化鉀( KI ) g 、硫代硫酸鈉( Na2S2O3 · 5H2O ) h 、標準葡萄糖( C6H12O6 )
木素磺酸鈣干粉生產流程圖
1 、一段酒糟泵 2 、酒糟貯槽 3 、二段酒糟泵 4 、燃油爐 5 、籠型磨 6 、分離器 7 、稀粘合劑貯槽 8 、稀粘合劑泵 9 、 1 號加熱器 10 、 2 號加熱器 11 、分離器 12 、循環泵 13 、粘合劑成品貯槽 14 、粘合劑成品泵 15 、粘合劑貯槽 16 、粘合劑泵 17 、燃油爐 18 、高位槽 19 、干粉塔 20 、空壓機 21 、 1 號風機 22 、 1 號旋風分離器 23 、 2 號風機 24 、 2 號旋風分離器 25 、成品包裝 26 、袋濾器 27 、噴嘴
減水劑對水泥水化行為的影響
1 、研究了木素磺酸鈣 (calcium lignosulfonate , CLS) 、氨基磺酸高效減水劑 (amino-sulfonic based superplasticizer , ASP) 、萘磺酸甲醛縮合物 (sulfonated naphthalene formaldehyde , FDN) 和三聚氰胺脲醛樹脂 (sulfonated melamine urea formaldehyde resin , SMUF)4 種減水劑對水泥水化行為的影響。結果表明:隨著 CLS 和 ASP 摻量 ( 質量分數 ) 的增加,水泥水化溫峰出現的時間延遲,溫峰值降低,達到穩定水化程度所需的時間增加。 FDN 和 SMUF 則對水化溫峰值、溫峰出現和達到穩定水化程度所需的時間影響不大。 4 種減水劑均可提高水泥水化初始期的水化速率和延長誘導期。 FDN 對初始期水化速率的提高作用最強,當 FDN 的摻量為 0.6 %時,第一水化速率峰為 60kJ / (kg · h) ,而空白樣僅為 12kJ / (k g · h) 。水化初始期后, CLS 可以顯著延長水化誘導期和降低其第二水化速率峰值,當 CLS 的摻量從 0 增加到 0.6 %時,水泥水化誘導期由 11h 延長到 40h ,第二水化速率峰由 49.8kJ / (kg · h) 降低到 29.5 kJ / (kg · h) 。而 ASP 的摻量為 0.6 %時,則水泥水化誘導期由 7 h 延長到 29 h ,但不降低第二水化速率峰值。 FDN 對第二水化速率峰的出現有輕微的延遲作用, SMUF 也可延遲第二水化速率峰的出現,卻一定程度提高了第二水化速率峰值。減水劑對水泥顆粒的分散作用和對水化產物生成的影響是其對水化行為影響的主要原因。
EFFECT OF WATER REDUCERS ON HYDRATION BEHAVIOR OF CEMENT
The effects of four water reducers : calcium lignosulfonate (CLS), amino-sulfonic based superplasticizer (ASP), sulfonated naphthalene formaldehyde (FDN) and sulfohated melamine urea formaldehyde resin(SMUF)on the hydration behavior of portland cement were researched . The results show that . with the increase of CLS and ASP , the peak hydration temperature of cement was reduced and the age required to reach the peak temperature and maximum hydration degree was delayed . FDN and SMUF had little impact on the peak hydration temperature and the age required reaching the peak temperature and maximum hydration degree . The hydration rate during the hydration starting period is accelerated and the hydration induction period is extended by the four water reducers . FDN promotes initial hydration best and increases the first hydration peak rate from 12 — 60 kJ / (kg · h)at dosages from 0 — 0.6 % during the hydration starting period . Because CLS increases the length of the induction period and greatly reduces the second hydration rate peak of cement paste . With the dosage of CLS from 0-0.6 %, the hydration induction period of cement paste is extended from 11-40 h, and the second hydration rate peak is reduced from 49.8 — 29.5 kJ / (kg · h) , The induction period is also extended by ASP from 7 — 29 h at a dosage of 0.6 %, but the second hydration rate peak does not reduced . With the addition of FDN and SMUF , the induction period is slightly extended . This effect on the hydration behavior of cement in plasticizer is favorable for improving the dispersive action of cement and affecting the hydration products .
(1) 隨著 CLS 和 ASP 摻量的增加,水泥的水化溫峰值降低,溫峰出現的時間延遲。 FDN 和 SMUF 則對水化溫峰值和溫峰出現的時間影響不大。
(2)CLS 和 ASP 摻量越大,水泥達到穩定水化程度所需的時間也越長。 FDN 和 SMUF 對達到穩定水化程度所需的時間影響不大。
(3) 在水化初始期間, 4 種減水劑都能提高水泥第一水化速率峰值,其中 FDN 的提高幅度最大。水化初始期之后, CLS 能夠顯著降低水泥第二水化速率峰,而 ASP 則只延遲但不降低水化速率。 FDN 對第二水化速率峰的出現有輕微的延遲作用, SMUF 也可延遲第二水化速率峰的出現,卻一定程度提高了第二水化速率峰值。
(4) 比較 4 種減水劑, CLS 對水化誘導期的延長作用最顯著,其次為 ASP 。
3 、研究了不同減水劑對水泥漿體初期水化熱、電性能、化學收縮的影響,結合采用 XRD ,分析了木鈣、萘系、聚羧酸減水劑對水泥水化的作用機理。結果表明,減水劑的加入能抑制 C 3 A 、 C 3 S 、 C 2 S 水化,阻礙礦物最初相的析出及減少水化產物 CH 晶體的生成,從而減緩漿體結構的發展、降低水化放熱、減小化學收縮。與萘系、木鈣相比,分子結構中含有的羥基 (-OH) 、羧基 (-COO - ) 、磺酸基 (-SO 3 - ) 、聚乙氧基 (-OCH 2 CH 2 -) 等官能團的聚羧酸減水劑更易抑制水泥初期水化,減緩和延遲水化放熱、延緩結構形成、降低化學收縮。 Through researching on the hydrational heat, the electrical-properties and the chemical shrinkage of hydrated cement at early age , additionally by using of XRD , the mechanism of influences of different types of waterreducers on the cement hydration is discussed. The rezults show that , the waterreducers are able to restrain the hydration of C 3 A 、 C 2 S and C 3 S , to hinder the initial crystallization of produced mineral and to reduce the formation of CH crystal , so that the development of paste structure is delayed, the hydrational beat is decreased and the chamical shrinkage is reduced . Compared with the waterreducers of calcium lignosulfonate and naphthanlene, the poly carboxylate can more easy to restrain the initial hydration , to slow down the hydrational heat and to delay the formation of strcture , becaues of there are many functional groups whthin its molecules , such as hydroxyl (-OH) , carboxyl (-COO - ) , sulfonic (-SO 3 - ] , polyethytene (-OCH 2 CH 2 -) , etc .
(1) 減水劑的加入能抑制 C 3 A 、 C 3 S 、 C 2 S 水化,阻礙 CH 晶體的生成、減緩漿體結構的發展、減小化學收縮、增強第一放熱溫峰、延緩消弱第二溫峰。
(2) 與萘系、木鈣相比,聚羧酸減水劑依靠其分子結構中含有的羥基 (-OH) 、羧基 (-COO - ) 、磺酸基 (-SO 3 - ) 、聚乙氧基 (-OCH 2 CH 2 -) 等官能團的作用,更易抑制礦物最初相的析出,延緩、消弱第二放熱峰,延緩結構形成、減小化學減縮。
1 、木質素磺酸鈣, NF 減水劑對硅酸鹽水泥,普通硅酸鹽水泥、礦渣硅酸鹽水泥、火山灰硅酸鹽水泥均有減水、增強作用。 2 、減水劑減水增強效果與水泥熟料的礦物組成中的 C 3 A 含量有較大的關系。 C 3 A 含量低的減水劑的效果更明顯。 3 、水泥的含堿量較大地影響減水劑的使用效果,一般含堿量高,減水劑的效果差,含堿量低,減水的作用顯著。 4 、摻礦渣煤矸石混合材料的水泥,加減水劑后一般分散效果更好。 5 、對 C 3 A 含量高,堿含量高的水泥使用減水劑,適當增大摻量可取得一定的效果。對不同水泥來講,減水劑的最佳摻量是不同的。 6 、對于摻硬石膏的水泥,不同種類的減水劑使用效果不同,有的出現速凝、速硬現象這是值得嚴重注意的問題。 7 、節約水泥,混凝土中摻該劑后可節約水泥 10%~15% ,則每一噸外加劑可節約水泥 30 噸,相應的每噸外加劑可節約能耗(已扣去生產外加劑的能耗) 33100 大卡,折合標準煤約 5.5 噸。 8 、超塑化劑在水泥漿體中有強烈的分散作用,這種分散作用是由于超塑化劑吸附在水泥顆粒表面,引起了 Zeta 電位值變化,使電動電位值明顯提高。變水泥顆粒逐之間的吸引力為電斥力,這樣就破壞了水泥顆粒之間的網狀凝聚,阻礙了凝聚作用,增加了有效水化面積,從而改變了水泥漿體原有的流變特性,使和易性變好,流動度增加。在減水的同時不改變可加工性。因此, Zeta 電位值對研究含有塑化劑的水泥漿體的流變特性時有重要意義。 9 、通過 Zeta 電位,流動度、表觀粘度、吸附等溫線的各項實驗,均發現了超塑化劑對水泥流變特性的影響上是有一定的聯系;它們都隨超塑化劑的種類和濃度變化而變化,且變化趨勢也有較好的一致性;可用以定性說明某種超塑化劑對水泥漿體流變特性的影響。
木質素磺酸鈣及木質素磺酸鈉減水劑
減水劑又稱為分散劑或塑化劑,由于使用時可使新拌混凝土的用水量減小,因此而得名。在混凝土坍 落度基本相同的條件下,能減少拌合用水量小于 10 %的外加劑,稱普通減水劑。屬木質素類,系陰離子表面活性劑;基本組分是苯甲基丙烷衍生物。
表 1 質量指標
|
項目 |
指標 |
|
木質素磺酸鹽( % ) |
> 55 |
|
還原糖分( % ) |
< 12 |
|
水不溶物( % ) |
2 ~ 5 |
|
pH 值 |
4 ~ 6 |
|
外觀 |
棕黃色粉末 |
其結構如圖 1 所示。

圖 1 減水劑結構圖
結構中 M 為 N + 、 K + 或 Ca 2+ 等陽離子。木質素系減水劑合成工藝流程見圖 2 。

圖 2 木質素系減水劑合成工藝流程圖 一、木鈣減水劑混凝土的性能指標
1 .減水率,不小于 8 %。 2 .泌水率比,不大于 95 %。 3 .含氣量;不大于 3 %。 4 .凝結時間差, -90 ~ +120min ,具有緩凝作用,使水化熱的釋放速度明顯減慢,放熱峰值也顯著降低。 5 .抗壓強度比 (C × 0.3 % ) , ? 3 ≥ 115 %, ? 7 ≥ 115 %, ? 28 ≥ 110 %。 6 . 28d 收縮率比;≤ 135 %。 7 .在保持新拌混凝土和易性不變的情況下,可減少拌合用水量 10 %左右,可使齡期 28d 的混凝土抗壓強度提高 10 %左右。 8 .在保持混凝土抗壓強度不變的情況下,可節省水泥用量 10 %左右。 9 .提高混凝土密實性,改善混凝土抗滲能力,對鋼筋無銹蝕作用,混凝土抗凍、耐久性等也明顯提高。 10 .收縮,由于水分蒸發而引起的干燥收縮和由水泥水化產生的凝縮統稱混凝土的收縮。 (1) 配合比和用水量不變,因摻 MJ 而增大坍落度,則混凝土收縮大于空白混凝上。 (2) 在保持拌合物坍落度不變,因摻 MJ 而減水增強,則摻與不摻 MJ 收縮大體相等。 (3) 保持強度不變和因摻 MJ 而節約水泥,收縮值小于空白混凝土。 11 .彈性模量,當強度相同時,摻用 MJ 減水劑后,彈性模量略高于空白混凝土。 12 .極限拉伸應變,水工混凝土重要性能之一是極限拉伸應變,水壩應具有高極限拉伸應變,以提高其抗裂性。用 MJ 減水劑的混凝土的極限拉伸應變略有增大。 13 .徐變,水工大體積混凝土要求有較大的徐變度,以適應溫差應力,而預應力混凝土結構則希望徐變較小而減小預應力損失。強度不變,摻 MJ 節約水泥后徐變增大;若水灰比不變,摻 MJ 增大坍落度則混凝土徐變增大 30 %左右;摻 MJ 在減水提高強度時,混凝土徐變度明顯減小。 14 .抗凍融性,摻 MJ 混凝土抗凍融性能優于不摻的空白混凝土。 15 .抗滲性, MJ 減水劑使混凝土減水和適量引氣,因而可提高混凝土抗滲性 1 倍左右。 16 .改善混凝土的工作性,提高施工速度和施工質量,滿足機械化施工要求,減少噪聲及減輕工人勞動強度?;炷林破飞a工藝中較普遍存在的“流水不暢、振耳欲聾、霧海航行”等問題,若使用減水劑必將得到大大改善。 減水劑有很多種,根據其主要成分常用減水劑可分為以下五大類: (1) 木質素磺酸鹽及其衍生物,如用造紙廠廢液制成的木質素磺酸鈣、木質素磺酸鈉、木質素磺酸鎂,此類減水劑屬普通減水劑。 (2) 糖蜜類,如利用糖廠下腳料廢糖蜜制成的糖蜜減水劑,也屬普通減水劑。 (3) 芳香族多環聚合物的磺酸鹽,它是用萘、蒽、菲等原料制成的減水劑,如 UNF 等,此類減水劑效果較好,屬高效減水劑。 (4) 水溶性樹脂磺酸鹽類,如磺化三聚氰胺樹脂、磺化古瑪隆樹脂等。 (5) 其它如腐植酸等。
二、摻量 木鈣減水劑適宜摻量為水泥重量的 0.25 %~ 0.3 %,此范圍內減水率及強度增長率都最高,超過此范圍提高幅度下降,當摻量達到 0.50 %時,強度與不摻減水劑的接近。當大于 0.75 %,則強度急劇下降。 超摻量木鈣減水劑混凝土的強度還與溫度有密切關系,如木鈣摻量為 0.5 %時,在 30 ℃ 、 0 ℃ 養護條件下試件除早期強度有影響外,后期強度仍隨齡期而增長,都能達到基準混凝土強度,但在 10C 養護條件下,混凝土較長時間不能凝結,直到 6 個月才達基準混凝土強度的 90 %。當摻量為 1 %~ 1.5 %時,混凝土早期無強度,到 6 個月僅為基準混凝土強度的 18 %~ 34 %。 超摻量木鈣混凝土早期強度下降的原因主要是木鈣有緩凝作用,使混凝土強度增長緩慢,在適宜摻量范圍內,凝結時間比不摻的延緩 2h 以上,當摻量為 0.75 %時,在坍落度相同條件下,凝結時間延緩 7h 以上,如果摻量更大,混凝土可數天不凝,強度很低。后期強度下降的原因,是由于超摻量會增加混凝土含氣量,摻量 0.5 %含氣量達 5 %,摻量 0.75 %含氣量達 7 %,摻量為 1 %時含氣量可達 10 %。含氣量增加 1 %,混凝土強度下降 4 %~ 6 %,因此摻量愈大強度下降愈多,摻量為 0.3 %水泥用量時,引氣量約為 4 %。 摻減水劑混凝土的拌合物,自攪拌機卸出到澆筑完畢的這段時間內,澆筑和振搗方法等與不摻減水劑的混凝土相同。在用硬石膏或工業廢料石膏作調凝劑的水泥中,摻用木質素磺酸鹽減水劑時應先做水泥適應性試驗,合格后方可作用。用硬石膏或工業廢料石膏做調凝劑的水泥,在摻用木質素磺酸鹽減水劑時會引起速凝。
三、用途 減水劑具有減水、增強、引氣、緩凝等綜合效應,可用于一般混凝土工程。宜用于日最低氣溫 5 ℃ 以上施工的混凝土,不宜單獨用于蒸養混凝土。適用于水利、港口、交通、工業與民用建筑的現澆和預制的混凝土和鋼筋混凝土工程,大體積混凝土、大壩混凝土、泵送混凝土、大模板、滑模施工用混凝土及防水混凝土等??晒澕s水泥、改善工藝性能、降低水泥早期水化熱及提高混凝土質量。 低溫養護時,木鈣減水劑混凝土 7d 前的強度增長率較為緩慢,僅為不摻減水劑混凝土強度的 70 %~ 80 %,但 7d 后強度增長率仍繼續上升。因此,有早強要求的混凝土應考慮溫度影響,而不宜單獨使用木鈣減水劑。 木鈣減水劑的引氣量較大,并具有緩凝性,混凝土澆筑后需要較長時間才能形成一定的結構強度,所以用于蒸養混凝土必須延長靜停時間或減少摻量,否則蒸養后混凝土容易產生微裂縫、表面酥松、起鼓及膨脹等質量問題。因此,普通減水劑不宜單獨用于蒸養混凝土 ( 圖 3) 。

圖 3 木鈣在混凝土中的三大作用示意
我國木質素產品年產量約 10 萬 t 左右,主要是廣州、開山屯、石硯等紙廠生產的木質素磺酸鹽,另有少量草類堿木質素產品,絕大部分為粗產品,品種少,性能差,由于應用范圍有水劑 ( 約 4 萬 t) 、石油鉆井液稀釋劑 ( 約 2 萬 t) 、農藥分散和礦粉粘合劑、耐火材料粘合劑等,只有少量經過精加工制成染料分散劑等高附加值產品。 隨著我國國民經濟的發展和木質素產品市場的不斷形成,木質素產品在我國具有越來越廣闊的市場前景。估計木質素粗產品及其精加工產品年需求量為:混凝土外加劑達 25 萬~ 40 萬 t ,油田化學品的需求量達 20 萬~ 30 萬 t ,另外木質素也被廣泛用于工業分散劑和粘合劑,其年需求量達 15 萬~ 20 萬 t 。此外,我國是農業大國,木質素在農業方面的應用潛力十分廣闊,如復合緩釋肥料、土壤改良劑、農藥緩釋劑等用量也很大。隨著木質素產品性能的提高和市場的不斷開發,木質素產品在我國的需要量將不斷增加。
四、機理 表面活性劑或稱界面活性劑,溶解于液體,并在液體表面定向排列,從而降低界面能,這種現象稱為表面活性,具有這種表面活性的物質稱為表面活性劑。這種物質的表面活性使其具有濕潤、乳化、分散、起泡、潤滑等作用。 表面活性劑的分子是由兩部分組成:一部分是溶于油而難溶于水的親油基團,稱為憎水基;另一部分是易溶于水而難溶于油的親水基團,稱為親水基。(如圖 4 所示)當親水基的親水性大于憎水基的憎水性時,此類表面活性劑即為親水性的,否則為憎水性的。目前混凝土中用的有機外加劑,多屬親水性表面活性劑,又稱水溶性表面活性劑。表面活性劑按其離子類型又分為:離子型表面活性劑 ( 包括陰離子表面活性劑、陽離子表面活性劑和兩性表面活性劑 ) 與非離子型表面活性劑兩類,在混凝土中多用陰離子型表面活性劑。

圖 4 表面活性劑的分子示意
減水劑多為親水性表面活性劑,在水中離解后,按其基性定向排列吸附在水泥顆粒表面,產生的靜電相斥作用,使水泥顆粒分散,把原來呈聚凝狀所包裹的游離水釋放出來,從而取得減水的效果。減水機理如圖 5 所示。

(a) 水泥漿的絮凝結構 (b) 減水劑作用簡圖
圖 5 減水劑的減水機理
五、減水劑的技術經濟效果 水泥的礦物組成中 C 3 S 和 C 3 A 對水泥水化速度和強度的發揮起決定作用。減水劑加入到水泥 - 水系統以后,首先吸附的是 C 3 A 。在減水劑摻量不變的條件下, C 3 A 含量高的水泥,由于 C 3 A 被吸附量大,必然使得用于分散 C 2 S 和 C 3 S 等其它組分的量顯著減少,因此 C 3 A 含量高的水泥減水效果較差。
在混凝土中摻人減水劑后,一般可得到如下效果 ( 圖 6) : 1 .提高流動性 在不改變混凝土配合比的情況下,加入減水劑后能明顯地提高拌合物的流動性,且不影響混凝土的強度。 2 .提高強度 在混凝土中摻人減水劑后,可在混凝土坍落度基本相同的條件下,減小拌合用水量 ( 不改變水泥用量 ) ,從而降低了水灰比,使混凝土的強度得到提高。 3 .節省水泥 在混凝土坍落度基本相同的條件下,在減少拌合水量的同時,也可以減小水泥用量,使水灰比保持不變。這樣,在保證流動性和強度不變的情況下,節省了水泥。 4 .改善混凝土性能 摻人減水劑后,可以減少拌合物的泌水、離析現象;延緩拌合物的凝結時間;減緩水泥水化放熱速度;顯著地提高混凝土的抗滲性及抗凍性,使耐久性能得到提高。

圖 6 減水劑對混凝土起增強或增加坍落度的影響
六、砂石骨料對減水劑混凝土性能的影響 砂石骨料的粒徑、品種和用量對減水劑混凝土的含氣量、減水率和強度均有一定影響。 砂的粒徑對混凝土含氣量的影響較大。含氣量的峰值出現在粒徑 0.3 ~ 0. 6 ㎜ 的范圍內,這是由于砂的表面粗糙凹凸不平,易于聚存氣體。砂的粒徑大于該范圍時,由于表面積小,吸附空氣量少,拌合物內含氣量??;而粒徑小于該范圍時,拌合時易于凝聚成團,阻礙了氣體的進入,故含氣量也小。混凝土的減水率隨含氣量的增加而提高,含氣量愈大,單位用水量減水就愈多,含氣量每增加 1 %,混凝土用水量可減少 5kg /m 3 。因此,以中砂配制的混凝土減水率最佳,粗砂和細砂次之,而特細砂則減水效果最差。 石子粒徑在 20 ~ 4 0 ㎜ 時,對減水率的影響不顯著,石子粒徑小于 2 0 ㎜ ,則含氣量增大,大于 40mm 時,則含氣量減小,因此,對于一般的建筑工程,石子粒徑對減水率的影響不大。 石子品種對減水率有較大影響。卵石表面光滑,表面積小,而碎石表面粗糙多棱角,表面積大,在要求相同坍落度情況下,碎石需增加用水量和砂率,如砂率不增大,則碎石混凝土的減水率低于卵石混凝土。 砂漿在拌合物中起潤滑作用,減少粗骨料之間的摩擦力,在一定的砂率范圍內,砂率愈大潤滑作用愈顯著,但超過合適范圍,由于砂子表面積增加,砂漿粘度增大,因此,一定級配的混凝土都有各自的最佳砂率。混凝土中摻人減水劑,可以說部分承擔了細骨料在拌合物中的潤滑作用,從而改善了混凝土的和易 性,在滿足和易性條件下,即可減小用砂量,則能進一步減小混凝土的單位用水量,特別對引氣型減水劑而言,砂率的減小在很大程度上能補償由于引入空氣引起的強度損失,引氣型減水劑砂率可減少 2 %左右,從而得到額外的增強效果。
七、水泥的適應性 在混凝土材料中水泥對外加劑混凝土性能影響最大,以減水劑而言,不同減水劑品種對水泥的分散、減水、增強效應不同。對于同一種減水劑,由于水泥礦物組成,混合材料品種及摻量,含堿量,石膏品種及摻量的不同,其減水增強效果也很不相同。 水泥中的礦物組成中以鋁酸三鈣 (C 3 A ) 硅酸三鈣 (C 3 S) 對水泥水化速度和強度的發揮起決定作用。減水劑加入到水泥—水系統以后,首先是被 C 3 A 吸附, C 3 A 含量高的水泥,吸附減水劑量就多,必然用于分散到 C 3 S 和硅酸二鈣 (C 2 S) 及其它礦物組分中去的減水劑量顯著減少,因此, C 3 A 含量高的水泥減水效果就差。 水泥熟料堿含量過高,能使水泥凝結時間縮短,早期強度及流動度降低,因此,堿含量高的水泥減水效果也差。 水泥中作調凝劑的石膏對減水效果影響很大。有的會產生速凝現象,用無水石膏或工業氟石膏作調凝劑,當在使用木質素磺酸鈣或糖蜜減水劑時會出現異常凝結現象。這是由于上述石膏在木鈣或糖鈣溶液中,硫酸鈣溶解量下降, C 3 A 很快水化,使混凝土發生速凝, C 3 A 含量愈大凝結愈快,當 C 3 A 含量大于 8 %時,混凝土就會發生速凝現象。摻木鈣減水劑對混凝土的影響見圖 7 ~ 12 。 其它如水泥細度大,有利于減水劑的減水增強效果,礦渣摻合料吸附性小也有利于減水。

圖 7 木鈣減水劑摻量與減水率的關系 圖 8 摻木鈣減水劑對混凝土泌水的影響

圖 9 摻木鈣減水劑對普通硅酸鹽水泥 圖 10 木鈣減水劑對混凝土凝結時間的影響
混凝土水化放熱曲線的影響 1 一普通硅酸鹽水泥混凝土; 2 一摻木鈣的硅酸鹽水泥混凝土; 3 一礦渣硅酸鹽水泥混凝土; 4 一摻木鈣的礦渣硅酸鹽水泥混凝土

圖 11 木鈣減水劑摻量對混凝土坍落度的影響 圖 12 木鈣摻量與含氣量的關系 ( 相同配合比 ) 木質素磺酸鹽對水泥凈漿的影響見表 2 ~ 4 。
表 2 木質素磺酸鹽用量對水泥凈漿減水率的影響
|
減水率
陽離子 |
摻量 C × % |
|
0.15 |
0.25 |
0.5 |
|
Ca 2+
Na +
Fe 2+
Al 3+ |
32.0
34.0
32.4
31.3 |
34.1
37.9
36.2
32.9 |
34.2
40.1
41.0
34.3 |
表 3 不同陽離子木質素磺酸鹽對水泥凈漿強度的影晌
|
木質素磺酸鹽 |
用量( % ) |
水灰比 |
抗壓強度( MPa ) |
|
3d |
7d |
28d |
|
Na +
NH
Ca 2+
Cu 2+
Zn 2+
Fe 3+
Al 3+
空白 |
0.25
0.25
0.25
0.25
0.25
0.25
0.25
0.25
0 |
0.33
0.33
0.33
0.33
0.33
0.33
0.33
0.33
0.40 |
30.4
29.6
27.9
32.2
27.7
33.7
29.2
25.2
18.4 |
38.9
35.1
37.7
41.4
38.0
40.3
39.5
40.2
29.8 |
60.7
47.7
55.7
57.9
55.1
55.6
58.1
59.0
43.3 |
表 4 木質素磺酸鹽摻量對水泥凈漿強度的影響
|
摻量( % ) |
0.15 |
0.25 |
0.5 |
|
水灰比
抗壓強度
不同陽離子 |
0.35 |
0.33 |
0.32 |
|
3d 7d 28d
(MPa) (MPa) (MPa) |
3d 7d 28d
(MPa) (MPa) (MPa) |
3d 7d 28d
(MPa) (MPa) (MPa) |
|
Na +
Ca 2+
Fe 2+
Cu 2+
Fe 3+
Al 3+ |
27.7 40.2 51.8
25.5 34.3 48.2
26.9 34.5 52.1
28.1 36.4 50.6
29.8 38.1 52.2
28.6 38.1 54.5 |
30.4 38.9 60.7
27.9 37.7 55.7
33.7 40.3 55.6
32.2 41.4 57.9
29.2 39.5 58.1
29.6 40.2 59.0 |
27.6 40.5 56.3
27.7 42.4 56.4
34.1 41.6 61.4
27.0 41.3 50.6
29.9 41.9 58.7
30.6 39.8 55.7 |
|
空白 |
18.4 29.8 43.3( 水灰比 =0.40) |
八、木質素磺酸鹽的發展概況 20 世紀 30 年代初,使用亞硫酸制漿廢液來改善混凝土的和易性,提高混凝土強度和耐久性,已經引起人們的重視,從 1935 — 1937 年,美國人 E . W . Seripture 研制成功以木質素磺酸鹽為主要成分的減水劑——普濁里,并申請了專利。從此,人類開始了對木質素磺酸鹽在混凝土中的作用的基礎研究工作,探明了木質素磺酸鹽的分散機理和對混凝土各種性能的影響,繼而發展到今天的對高性能減水劑的開發與應用。 20 世紀 50 年代,日本引進了美國的制造技術,生產了以 Pozzlith 為代表的混凝土減水劑,并將其大規模用于水庫和城市建設,極大地推動了亞硫酸制漿廢液和木質素磺酸鹽的開發與應用。 20 世紀 50 年代,我國也開始了對亞硫酸制漿廢液的應用研究。 木質素磺酸鹽的減水機理,使用的最佳摻量,對混凝土各種性能的影響,以及它存在的問題和不足,業內人士已是家喻戶曉。近年來液體外加劑的逐步推廣,暴露了木質素磺酸鈣在與萘系高效減水劑復配使用后,產生不溶物沉淀的問題,給攪拌站帶來不少麻煩,為此,我們進行市場調查與仔細的分析,經過科學的篩選,嚴格進行化學改性,研制了一種木質素磺酸鈉型減水劑,解決了沉淀的問題。
九、木質素磺酸鹽的基本理論
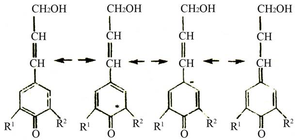
1 .木質素的形成與結構 木質素的英文名稱 Lignin ,是由拉丁文的 Lignum 衍生而來,意思是木材。木質素是由苯基丙烷為單體組成的天然聚合物,是維管束植物的主要成分,木質素是植物世界中僅次于多糖的最豐富的有機高分子聚合物。在同一植物中,木質素的含量是恒定的,不同植物中木質素含量相差較大,例如,軟木 ( 針葉樹 ) 中木質素含量為 27 %~ 37 %,而硬木 ( 闊葉樹 ) 中木質素含量為 16 %~ 29 %。 木質素有多種功能來維持植物的生命,木質素能降低植物運輸組織中細胞壁的水分的滲透性,并且,對水分、營養物等輸送起著重要作用。另外,它不但使細胞壁堅硬,而且也是木材細胞之間的粘合劑,致使樹木對沖撞、壓縮和彎曲有非常強大的抵抗力,由于木質素具有阻止酸壞性酶滲透到細胞壁中的性能,木質化組織能夠有效地抗拒微生物的侵襲。 在木質素中,三個苯基丙烯烴單體經脫氫聚合而生成了木質素,這三個單體是: 3-(4- 羥基丙基 )-2- 丙烯 -1- 醇 ( 對,香豆醇 )I , 3-(3- 甲氧基 -4- 羥苯基 )-2- 丙烯 -1- 醇 ( 松柏醇 ) Ⅱ, 3-(3.5- 二甲氧基 -4- 羥苯基 )-2- 丙烯 -1- 醇 ( 芥子醇 ) Ⅲ。

組成大分子木質素結構的生物化學途徑,第一步是將這些單體經過酶催化脫氫而生成四種中間形式的苯氧基團。

R 1 , R 2 =H , OCH 3
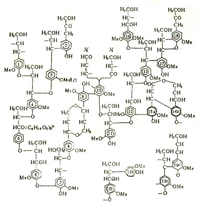
這些單體的不規則偶合反應導致了立體的非結晶質的聚合物,這與纖維素和蛋白質不同,木質素缺少規則的重復單元,由于木質素的結構和多相性的性質,可以說它是一個最復雜的天然聚合物。正是由于這一點,盡管已經有人提出許多代表“平均”的結構的模型,木質素的結構還沒有完全確定下來,見圖 13 、 14 。

圖 13 云杉木質素結構示意圖

圖 14 水青崗木質素結構示意圖
2 .木質素的化學性質 幾十年來,造紙工業化學法制漿主要形成兩種方式:堿法和酸法,又稱硫酸鹽法和亞硫酸鹽制漿方法,兩種方法得到的木質素,結構差別很大,性能差別也很大。
(1) 硫酸鹽制漿反應 在硫酸鹽制漿過程中,木質素的反應主要是親核反應。由于制漿化學品 ( 氫氧化鈉和硫化物 ) 在醌的甲基化中間體上發生親核反應,使主鍵及酚羥基上的芳基甘油— β —芳基醚發生斷裂,而導致醚鍵斷裂。 由于它們具有親核性強的特點,所以硫氫離子也會使木質素上的甲基芳醚發生斷裂 ( 脫甲基化反應 ) 形成甲硫醇 (a) 和鄰苯二酚結構。繼而鄰苯二酚又可被空氣氧化生成醌,這就是造成木質素呈棕色的主要原因 (b) 。

甲硫醇是造成造紙廠臭味的原因,醌構是造成木質素顏色變化的主要原因。 蒽氫醌 (AHQ) 與硫化物有著同樣的催化作用,可以使木質素降解,蒽氫醌在醌的甲基化物上親核反應導致中間加成物的生成,這些加成物再經過環芳醚鍵的裂解,造成共振結構和蒽醌。

一般而言,硫酸鹽木質素含有 1 %~ 1 . 5 %的結合硫元素,而分子量也偏低 ( 重均分子量 MW 約在 2000 ~ 3000) ,這樣方法得到的木質素,其結構可以進行許多化學反應,改變木質素的性質,適用于染料分散劑。
(2) 亞硫酸鹽制漿法 在亞硫酸鹽制漿條件下,木質素被磺化而可溶于水。

在某種程度上,也可以用亞硫酸鹽脫去木質素上的甲基而生成鄰苯二酚結構和甲烷磺酸。 根椐亞硫酸制漿蒸煮液的酸堿度 ( 即 pH 值 ) 亞硫酸鹽法可分堿法、中性法、酸性法,此酸堿度對亞硫酸木質素 ( 木質素磺酸鹽 ) 分子量的大小影響較大。酸性亞硫酸鹽制漿法所生成的木質素磺酸鹽比中性法的木質素磺酸鹽分子量要高,而堿性法生產的木質素分子量最小。一般亞硫酸鹽制漿廠均采用酸性法,各種制漿方法得到的木質素,分子量如圖 15 所示。

圖 15 不同工藝所得木質素分子量不同
(3) 變黃反應 ( 氧化反應 ) 在堿或空氣氧存在下或暴露在日光下,木質素會發生變色作用,而使紙或木材變黃。木質素的這種光化學變色是由于木質素的 2- 羰基吸收了紫外線而引起的,木質素結構的激發態吸收光而形成苯氧基,它與空氣中的氧反應生成醌型發色基團。

(4) 生物反應 木質素的微生物和酶降解是一個復雜的生物化學過程。因被白腐菌分解,木質素的化學變化降低了它的羥基、氫和甲氧基含量,但增加了羧基、羰基和氧的含量。
(5) 漂白反應 在制漿的木質素漂白過程中,漂白化學品 ( 氯氣,次氯酸,二氧化氯,臭氧和過氧醋酸 ) ,促進木質素結構上發生親核反應,繼而發生親核加成和取代反應,二氧化氯反應就是個典型的例子,引發親核反應發生在木質素酚羥基團活潑的鄰位和對位。

R 為木質素
在堿性介質中,氧和過氧化氫對木質素的氧化作用是紙漿無污染漂白方法的基礎。比較兩種氧化物的作用,分子氧可以形成發色團結構,同時有木質素降解現象。相反,過氧化氫完全可以破壞這種發色團,這是過氧化氫作為高產紙漿漂白劑而廣泛用于造紙工業的原因。
3 .工業商品木質素 目前,在市場上銷售的木質素衍生物有兩種,即木質素磺酸鹽和硫酸鹽木質素,兩種木質素的區別列于表 5 、表 6 。
表 5 硫酸鹽木質素與木質素磺酸鹽性能比較
|
性能 |
硫酸鹽木質素 |
木質素磺酸鹽 |
|
分子量 |
2000 ~ 3000 |
20000 ~ 50000 |
|
多分散性( MN/MN ) |
2 ~ 3 |
6 ~ 8 |
|
磺酸基( Meg/g ) |
0 |
1.25 ~ 2.5 |
|
有機硫( % ) |
1 ~ 1.5 |
4 ~ 8 |
|
溶解度 |
不溶于水,可溶于堿性物質( pH > 10.5 )丙酮、二甲基酰胺等溶劑 |
可溶于各種 pH 的水溶液中,不溶于有機溶劑 |
|
色澤 |
深褐色 |
淺褐色 |
|
官能團 |
酚式羥基、羥基和兒茶酚基團較多,有些不飽和側鏈 |
酚式羥基、羥基和兒茶酚基團較少,不飽和側鏈也很少 |
表 6 硫酸鹽木質素與木質素磺酸鹽主要化學性能比較
|
性能 |
硫酸鹽木質素 |
木質素磺酸鹽 |
|
基礎組成( % ) |
C 66 H 58 S 1.6 |
C 53 H 4.5 S 6.5 |
|
雜質 |
無 |
碳水化合物降解產品 |
|
官能團 |
|
|
|
酚羥基 phenolie - oh (%) |
4.0 |
1.9 |
|
脂肪羥基 Aliphalie - oh (%) |
9.5 |
7.5 |
|
硫酸鹽 SOH(%) |
|
16 |
|
硫醇基 SH(%) |
3.3 |
|
|
甲氧基 OCH 3 (%) |
14.0 |
12.5 |
|
溶解性 |
堿 |
水 |
|
主要連接鏈 |
C-C 鍵 聚苯乙烯型 側鏈和芳環 二烷基 |
芳基-烷基 醚 (-3- O -4) |
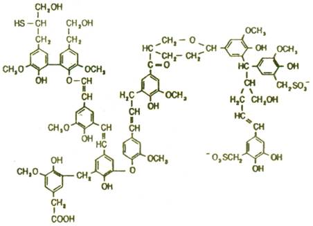
硫酸鹽木質素可溶于堿性水溶液 (pH > 10.5) 二烷、丙酮、二甲基甲酰胺等。通常需要用亞硫酸鹽和甲醛作用使其磺甲基化,而成為水溶性產物,圖 16 為甲基磺化硫酸鹽木質素的模型結構式。

圖 16 甲基磺化硫酸鹽木質素的模型結構式
硫酸鹽木質素,可根據磺化度的不同,磺化位置的不同,得到各種牌號的產品,適用于不同的應用領域。 木質素磺酸鹽是亞硫酸鹽法制漿中的副產品,它的結構和分子多分散性是極不均一的。 木質素磺酸鹽可溶于各種不同 pH 值的水溶液中,不溶于有機溶劑,圖 17 為針葉樹木質素磺酸鹽的模型結構式。木質素磺酸鹽可以通過各種方法進行改性而得到不同性能、不同用途的產品。

圖 17 針葉樹木質素磺酸鹽的模型結構式
十、木質素磺酸鈣減水劑的現狀
1 .木質素磺酸鈣原材料的變化 木質素磺酸鈣在我國使用已經 30 多年了, 30 年來,由于森林的過量砍伐,資源的枯竭,木質素磺酸鈣的原材料來源發生了較大的變化。最初,我國的木質素磺酸鈣,有松木木質素磺酸鈣和楊木木質素磺酸鈣,現在已不存在了,目前的木質素磺酸鈣都是由松木和楊木以及樺木的混合物,并用制漿造紙用的樹木的樹齡也由最初的 20 ~ 30 年的變成了 10 年以上,甚至幾年以上,樹木的直徑有 lm 以上,也有 10cm 以上的,如前邊所述,在同一植物中各部位的不同,如樹葉、樹枝、樹干和樹根,其含量不同,組成有較大差別,不同樹齡的木質素構成是不同的,加上不同的生產降糖工藝,所以目前的木質素磺酸鈣已經不是 10 年前的木質素磺酸鈣。
2 .降糖工藝與產品質量 亞硫酸制漿液中含有 17 %~ 18 %的還原糖,有五碳糖和六碳糖,減水劑的標準要求糖含量要小于 12 %,所以必須把還原糖指標降至 12 %以下。
(1) 發醇降糖,提取酒精 廢液中的六碳糖,在酶的作用下,經發醇降糖轉變成乙醇,然后分離出去,剩下的廢液還原糖含量小于 12 %,經干燥得木質素磺酸鈣。
(2) 氫氧化鈣降糖 廢液中加入氫氧化鈣溶液,經反應、保溫,使糖降至 12 %以下,然后過濾除掉鈣鹽沉淀物,液體經干燥得木質素磺酸鈣。
(3) 氫氧化鈉降糖 廢液中加入氫氧化鈉溶液,經反應、保溫,糖降至 12 %以下,經噴干得木質素磺酸鈣。
(4) 空氣氧化降糖 廢液中通人空氣進行氧化,根據糖的含量調整進氣量和反應時間,直至糖含量小于 12 %,產品經噴霧干燥,得木質素磺酸鈣。
(5) 亞硫酸鹽降糖 廢液中加入亞硫酸鹽,加壓,高溫下反應數小時,得還原糖小于 12 %的液體,噴霧干燥后得木質素磺酸鈣。 以上方法中,前三種均在采用,第四種方法,石峴造紙廠在中試階段。發酵制酒精的木質素磺酸鈣質量較好,含量相對提高。氫氧化鈣降糖除鈣過程困難,但產品質量較好,含量相對不變,氫氧化鈉降糖引人大量氫氧根離子 (OH) — ,會對混凝土有負面影響,并由于 10 %左右氫氧化鈉的加人,含量相對降低,性能較差。
3 .氫氧化鈉降糖的危害 有資料表明,木質素磺酸鹽不會引起堿—骨料反應,而且對混凝土耐久性有所提高。但是,如果木質素磺酸鹽中帶人氫氧根離子,會對混凝土造成極大的威脅。有資料介紹,為了評價高強混凝土的堿—骨料反應性能,在使用反應性料和非反應性粒,單位水泥用量為 650kg /m 3 、水灰比為 0.26 和 0.36 的高強混凝土中摻入 NaOH ,并調整含堿量,同樣地,使用上述兩種骨料,單位水泥用量為 350kg /m 3 、水灰比為 0.56 的一般混凝土中摻入 NaOH 并調整含堿量,然后根據 TCI 的混凝土棒法,測定了這種混凝土的膨脹率。結果如圖 18 所示,堿—骨料引起的膨脹不僅取決于混凝土的抗壓強度,而且取決于混凝土含堿量,并且,混凝土的高強化也不能抑制堿—骨料反應引起的膨脹。 這個結果充分說明,氫氧化鈉的破壞作用,最重要的是氫氧根離子 OH 的破壞作用;氧化鈉和氧化鉀的危害性,因為它們與水反應的產物均為氫氧化物。 氫氧化鈉降糖是氫氧化鈉與五碳糖或六碳糖反應,糖的醛基反應變成羥基,反應式如下:

時間 ( 月 )
(1) 單位水泥用量為 350kg /m 3 的混凝土

時間 ( 月 )
(2) 單位水泥用量為 650kg /m 3 摻加外加劑的混凝土
圖 18 高強混凝土與普通強度混凝土因堿骨料反應而引起的膨脹性的比較

實際生產中,在除去亞硫酸制漿廢液中 18 %左右的糖類時,每噸木質素磺酸鈣必須加入 13.5 %以上的氫氧化鈉,也就是說,每噸木質素磺酸鈣加入 135kg 氫氧化鈉。這么大量氫氧根離子都存在于木質素磺酸鈣中,必然會給混凝土帶來一定的危害。 采用氫氧化鈉降糖的另一種危險是,液體氫氧化鈉中帶入的氯離子,據資料介紹,我國生產氫氧化鈉有三種方法:水銀法、隔膜法、離子交換膜法,其中隔膜法的產量占 90 %,隔膜法的液體氫氧化鈉中最多可含有 5 %的氯化鈉。氯離子會破壞鋼筋表面的鈍化膜和促進鋼筋銹蝕,在混凝土鋼筋的表面存在著陽極區和陰極區形成的微電池。
陽極過程:電子迅速跑向陰極,同時金屬產生離子化過程,即:
Fe+nH 2 O→Fe 2+ ·nH 2 O+2 e —
陰極過程:氧被極化,透過混凝土保護膜而到達鋼筋表面,并生成氫氧根離子,即:
O 2 +2H 2 O 十 4 e — → 4(OH ) —
陽極過程生成的 Fe 2+ 和陰極過程生成的 (OH) — 在電介質溶液中不斷擴散相遇在鋼筋表面上生成 Fe(OH) 2 若再繼續氧化,則轉化成疏松狀態的鐵銹,由于體積膨脹產生壓力,導致混凝土產生裂紋,這種循環作用招致鋼筋混凝土中鋼筋嚴重銹蝕。 無獨有偶,前面所述,氫氧化鈉使混凝土產生膨脹,鋼筋銹蝕過程也與氫氧根離子有關,從而可以看出氫氧化鈉降糖的的嚴重危害。
4 .改性的研究 木質素磺酸鈣的價格便宜,原材料豐富,被廣泛使用,但是它性能不盡人意,曾經有人對它進行改性,以下是國內已經改性成功并大量生產和應用的工藝與品種:
(1) 對木質素磺酸鹽進行化學分級,將其大分子部分分離出來,進行化學改性,得到木質素磺酸鈉分散劑 M - 9 。
(2) 對木質素磺酸鹽通過超濾進行分子量分級,大分子部分進行改性,得到木質素分散劑 CMN 。
(3) 對木質素磺酸鹽通過加壓聚合的方法,將分子量增大,得到木質素磺酸鹽分散劑 M - 15 。
(4) 木質素磺酸鹽,經過再磺化、氧化等工藝,與微量金屬元素螯合,得木質素磺酸螯合肥“碧樂寶”。
(5) 木質素磺酸鹽可用堿性物質氧化反應制得木質素磺酸鈉 S — 50 。
目前為止改性后,用做混凝土減水劑的品種,而且真正工業化的還是寥寥無幾。
十一、木質素磺酸鈉減水劑的開發 木質素磺酸鹽的改性大有可為,但是由于分子結構等原因,期望不能過高。我們建議,針對木質素磺酸鹽在混凝土上應用的某一種或某一些問題來改性,使之在實際中得到應用。為此,針對木質素磺酸鈣與萘系高效減水劑復配制成液體外加劑時產生沉淀的問題,開發了不產生沉淀的木質素磺酸鈉產品,同時提高了減水率和凈漿流動度,并保持了木鈣的一些性能,產品在國內許多工程上得到應用。
1 .分子量的比較 木質素磺酸鹽是一種天然的高分子聚合物,它的分子量分布很不均勻,不同丁藝得到的木質素磺酸鹽分子量差別很大。由資料可知,不同分子量的木質素磺酸鹽對混凝土的性能影響較大:大分子有緩凝作用,并強度降低;小分子引氣過多,也不宜應用;中等分子量的木質素磺酸鹽備受關注。 目前,很難拿到木質素磺酸鹽的純品,所以測定木質素磺酸鹽分子量很難,選取不同的參照物 ( 如聚苯乙烯磺酸 ) ,又因測定方法不同而出現差異。中等分子量很難確定準確范圍,對實際缺乏指導意義。 采取葡聚糖凝膠色譜 (GPC) ,測定木質素磺酸鹽的分子量分布,比較改性后不同木質素磺酸鹽的分子量分布的變化,得到了不同木質素磺酸鹽的分子量分布曲線,見圖 19 ,曲線 1 由亞硫酸廢液經化學分級后得到的大分子量的木質素磺酸鈉鹽,作為染料分散劑;曲線 2 是亞硫酸廢液,經加壓聚合的木質素磺酸鈉鹽;曲線 3 是改性的木質素磺酸鈉;曲線 4 是木質素磺酸鈣。曲線 3 、 4 說明,改性的木質素磺酸鈉與木質素磺酸鈣的分子量相近,略有提高。

洗脫體積 (mL)
1 — M-9 ; 2 —改性木鈉; 3-S-50 ; 4 —木鈣
圖 19 各種木質素磺酸鹽的 GPC 色譜 ;
2 .技術指標比較 木鈣與木鈉的技術指標比較見表 8 。
表 8 木鈣與木鈉的技術指標比較
|
名稱 |
木鈣 |
木鈉 |
|
pH 值 |
4 ~ 6 |
7 ~ 9 |
|
還原物含量( % ) |
≤ 12 |
≤ 4.0 |
|
鈣鎂含量( % ) |
6 ~ 7 |
≤ 1.0 |
|
無機鹽含量( % ) |
— |
≤ 3.0 |
3 .液體外加劑沉淀問題的解決 (1) 沉淀原因分析 1) 可避免沉淀 ①用低濃高效減水劑中的硫酸鈉配制液體外加劑時,由于溫度低而析出沉淀。 ②高濃高效減水劑在生產中用氫氧化鈣中和過量硫酸,產生硫酸鈣,由于過濾不凈,配制液體外加劑時產生沉淀。 ③木質素磺酸鈣的生產中,用于脫糖的氫氧化鈣,由于過濾的不徹底,在配制液體外加劑時產生沉淀。
2) 不可避免的沉淀 優質的高濃高效減水劑和優質木質素磺酸鈣先后溶于水進行復配制成液體外加劑,而產生的沉淀。
(2) 沉淀產生過程 可避免沉淀,可以通過控制原料質量來解決。不可避免沉淀產生過程:在一個水溶液中,先溶解高效減水劑,高效減水劑中的萘磺酸鈉和硫酸鈉,分別解離成萘磺酸離子- S O — ,硫酸根離子 SO = ,鈉離子 Na + 。同一溶液中,再溶解木質素磺酸鈣,也解離成木質素磺酸離子 Lignin - S O — 和鈣離子 Ca ++ ,同處一個體系的物質,根據化學動力學,進行化學反應,最后達到新的平衡,其結果,溶液中存在萘磺酸縮合物的鈉鹽、木質素磺酸鈉、木質素磺酸鈣、硫酸鈉和沉淀物硫酸鈣,由于硫酸鈣的解度很小, 100g 20 ℃ 水中僅溶解0 . 2 %左右,所以必然沉淀出來,反應式如下:
2Lignin - SO 3 Ca 十 Na 2 SO 4 → 2Ligni n — SO 3 Na + C aSO 4 ↓
將萘系高效減水劑 ( 低濃 ) 分別與木質素磺酸鈣和木質素磺酸鈉進行復配,它們的比例為高效:木鈣 ( 木鈉 )=1 : 1 , 1 : 2 , 1 : 3 。復配后的產品用蒸餾水完全溶解,放置一段時間,在稱重的濾紙上過濾,過濾物與濾紙一起烘干,并稱重,測定殘渣重量,其結果如表 9 和圖 20 所示。
表 9 復配后產生的過濾殘查
|
名稱 |
1 : 1 |
1 : 2 |
1 : 3 |
|
高效 : 木鈣 (g) |
0.124 |
0.22 |
0.34 |
|
高效 : 木鈉 (g) |
0.0427 |
0.0474 |
0.048 |
上述試驗數據充分說明,高效減水劑與木質素磺酸鈣復配,會產生新的沉淀。
(3) 不可避免沉淀的避免 從表 9 和圖 20 中可以發現,高效減水劑與木質素磺酸鈣復配溶解后不可避免的產生沉淀,而高效減水劑與木質素磺酸鈉復配,可以避免沉淀,這就找到了一條解決復配液體外加劑不產生沉淀的途徑。
十二、木質素磺酸鈉減水劑的應用性能
1 .對水泥的適應性 我國地域廣闊,南北方地質條件復雜,各地的水泥組成不同,所以木質素磺酸鈉的適應性極為重要。從使用情況看,廣州、上海、北京的水泥使用木質素磺酸鈉,都取得滿意的結果。
2 .含氣量 混凝土中摻入木質素磺酸鈉、木質素磺酸鈣減水劑和高效減水劑 ( 萘系 ) ,進行含氣量試驗,結果見表 10 和圖 21 。
表 10 混凝土含氣量比較 ( % )
|
摻量 |
木鈉 |
木鈣 |
高效減水劑 |
|
0.25 |
1.7 |
2.6 |
0.9 |
|
0.50 |
2.4 |
2.8 |
1.7 |
|
1.0 |
2.7 |
3.1 |
2.3 |
|
1.5 |
3.2 |
3.5 |
2.9 |

圖 20 不同比例復配后殘渣

圖 21 各種外加劑不同摻量的混凝土含氣量
從試驗結果看,木鈉的含氣量次于高效減水劑,好于木鈣。
3 .抗壓強度 把木質素磺酸鈉與木質素磺酸鈣進行比較,結果列于表 11 。從表 11 上數據可以得到圖 22 ,從圖上分析木鈉的推薦摻量為 0.25 %~ 0.5 %,最佳摻量應由使用單位根據原料情況,經試驗確定。
表 11 摻木鈉、木鈣混凝土抗壓強度
|
序號 |
外加劑 |
摻量( % ) |
坍落度
(㎜) |
用水量( mL ) |
減水率( % ) |
抗壓強度 |
|
1d |
3d |
7d |
28d |
|
1 |
空白 |
|
80 |
2135 |
|
20/100 |
101.6/100 |
194.2/100 |
298.7/100 |
|
2 |
木鈉 |
0.25 |
78 |
1850 |
14.05 |
13.3/66 |
94.2/93 |
215/111 |
325/108 |
|
3 |
木鈉 |
0.5 |
78 |
1620 |
24.12 |
2.5/12 |
97.5/96 |
204.6/104 |
312/104 |
|
4 |
木鈉 |
1.0 |
79 |
1575 |
26.2 |
2.5/12 |
40.8/46 |
142/74 |
231/77 |
|
5 |
木鈉 |
1.5 |
80 |
1530 |
28.3 |
10/50 |
47.5/47 |
— |
— |
|
6 |
木鈣 |
0.25 |
80 |
1885 |
11.7 |
6.6/33 |
84.2/83 |
182/94 |
283/95 |
水泥:牡丹江強度等級 42.5 ,砂:中砂,石子:卵石,配合比: 1 : 2 : 3.1 : 3.77 ,水泥用量: 310( ㎏ /m 3 ) 。

圖 22 不同摻量的混凝土抗壓強度
4 .木鈉、木鈣與高效減水劑復配的效果 把木質素磺酸鈉與木質素磺酸鈣,同高效減水劑復配后進行比較,分別做了凈漿流動度和砂漿減水率試驗。
(1) 凈漿流動度試驗 水泥強度等級 42.5 ;摻水量 105mL ;復配比例: 1:1 。水泥凈漿流動度試驗結果見表 12 和圖 23 。
表 12 水泥凈漿流動度試驗結果 (mm)
|
樣品 (%) |
木鈉 |
木鈣 |
高效減水劑 |
木鈉 + 高效減水劑 |
木鈣 + 高效減水劑 |
|
0.25 |
140 |
135 |
169 |
145 |
145 |
|
0.5 |
200 |
195 |
215 |
215 |
200 |
|
1.0 |
231 |
206 |
238 |
285 |
265 |
|
1.5 |
240 |
210 |
250 |
287 |
270 |

圖 23 各種外加劑不同的摻量水泥凈漿流動度
( 2 )砂漿減水率試驗 砂漿減水率試驗結果見表 13 和圖 24 。
表 13 砂漿減水率試驗結果( % )
|
樣品 (%) |
木鈉 |
木鈣 |
木鈣 + 高效減水劑 |
木鈉 + 高效減水劑 |
|
0.25 |
13.5 |
12.3 |
10.2 |
11.22 |
|
0.5 |
16.23 |
14.13 |
13.26 |
20.4 |
|
1.0 |
18.7 |
16.7 |
26.5 |
28.57 |
|
1.5 |
24 |
20 |
28.57 |
32.65 |

圖 24 各種外加劑不同摻量砂漿減水率
從上述兩個試驗可以看出,復配后的結果均比單一品種效果好,木鈉復配后效果明顯好于木鈣。
5 .鈉離子濃度與堿 - 骨料反應 混凝土的堿—骨料反應,一直受到人們的關注。為避免堿 - 骨料反應,各國對水泥、骨料、外加劑的堿活性物質含量都做出嚴格的限制,外加劑中的鈉離子也備受重視。木質素磺酸鈉中的鈉離子會對混凝土產生什么影響,進行了如下分析:
(1) 通過火焰光度法,測定木質素磺酸鈉中的鈉和氧的含量,相當于氧化鈉含量 9.8 %。這個數字聽起來很驚人,但仔細分析,萘系高效減水劑 UNF 氧化鈉含量也在 10 %左右,并且高效減水劑的混凝土中摻量為水泥的 0.5 %~ 0.75 %,有時高達 1.0 %,這個摻量是木質素磺酸鈉的 1 倍到數倍。
(2) 就木質素磺酸鈉的氧化鈉含量而言,摻人混凝土中也是可以忽略不計的,例如 400kg /m 3 水泥的混凝土,木質素磺酸鈉的摻量為 1.0kg 。其中含氧化鈉為 98g ,所以不必擔心。
(3) 木質素磺酸鈉和高效減水劑中測定的氧化鈉含量,應加上所謂的“氧化鈉”含量,因為從上述兩種產品中測得的所謂“氧化鈉”含量實際是兩種產品中的鈉離子含量和氧離子含量的簡單加合,與氧化鈉 ( 包括氧化鉀 ) 是有本質的區別。舉例:氧化鈉 ( 氫氧化鉀 ) 與水反應,生成氫氧化鈉或氫氧化鉀并放出熱量,其方程如下:
K 2 O + H 2 O → 2KOH (a)
Na 2 O+H 2 O → 2NaOH (b)
氧化鈉和氫氧化鉀解離成鈉離子和氫氧根離子 OH — ,它們會使混凝土產生膨脹而破壞,而木質素磺酸鈉和萘系高效減水劑中的鈉離子,在溶于水時,是以離子狀態,分散和在水中不會發生放熱反應和并沒有產生新的氫氧根離子,所以也不會對混凝土造成危害。 通過上述分析認為,木質素磺酸鈉不能引起堿 - 骨料反應。
6 .木質素磺酸鈉的應用情況 木質素磺酸鈉已開發多年,一直在推廣應用中。 通過不斷的實踐,木質素磺酸鈉的優勢越來越顯示出來:配制液體外加劑沒有沉淀;復配的外加劑性能有較大提高。
檢測報告
|