|
靜態爆破在結構改造工程中的應用 北京洲際大廈位于北二環外中軸路東側,建筑面積66000m2、框-剪結構,地下3層,地上15層。結構施工過程中由于規劃要求需對其5~15層部分現澆混凝土梁及頂板進行破碎、植筋或拆除。由于混凝土為C40、樓板鋼筋為Φ12@150雙排雙向、梁截面較小、鋼筋密集、混凝土強度等級較高、且均為高空作業,故破碎施工危險性大、技術要求高。 1、方案選擇 (1)施工要求 1) 拆除破碎時應盡可能保留、保護鋼筋,以減少植筋作業量,為此只能采用風鉆,不能采用水鉆。 2) 要保證不擾動未拆結構,不影響其強度。 3) 盡可能減少現場其他機械設備(如塔吊、室外電梯)配合作業的時間。 4) 施工工序為5~15層自下而上,但其中第10、11層自上而下施工。 5) 破碎時禁止高空墜物并杜絕大塊混凝土墜落,以免擾動下層結構。 (2)方案選擇 根據施工要求及現場情況,經比較采用先預裂后靜態爆破破碎的方案,即利用預裂爆破原理,在距離需保留結構5cm外先鉆1~2排密集空孔,為靜態破碎提供破碎自由面,減少后續作業對保留結構的擾動,然后對需拆除部分鉆孔,灌注靜態破碎劑。在混凝土開裂后,用風鎬集中破碎清運并保留其中的鋼筋。該方案具有工期適宜、造價低、能保留其中的鋼筋、占用塔吊時間短及對結構擾動較小的優點,但對施工技術要求較高,施工時需密切注意安全。 2、靜態爆破的設計 (1)靜態爆破的原理 靜態爆破是利用裝在炮孔中的靜態破碎劑的水化反應,使晶體變形產生體積膨脹,從而緩慢又安靜地將膨脹壓力施加給空孔壁。由于受到空孔壁的約束,這種膨脹壓力轉化為拉伸應力,一般混凝土抗拉強度僅1.5~3MPa,在這種拉伸應力作用下易引起破碎。測試表明,靜態破碎劑在炮孔中產生的膨脹壓力一般可達30~80MPa,能充分保證混凝土在無震動、噪聲、飛石及毒氣的情況下安全裂縫破碎。 (2)炮孔設計
1) 樓板破碎。樓板厚170㎜,內配雙排雙向Φ12@150鋼筋,密集空孔孔深在15~17㎝,間距A=10cm,排距B=10cm,孔徑40㎜??刹捎眯便@的方法使孔的長度加大,通過開V形槽造成雙自由面作業(圖1),斜孔深20 cm,孔距A=20 cm;排距B=20 cm。 (a)斷面圖;(b)平面圖(圖中箭頭所指為鉆孔方向) 2) 梁破碎。梁上、下配筋均為Ф25,可根據情況局部剝離上下兩層鋼筋,然后再鉆孔破碎;孔深L=0.9 ×梁高,間距A=B=15㎝;孔徑為40mm。 3) 墻破碎??刹捎米陨隙裸@孔或采用墻面鉆斜孔的方法破碎。 (3)破碎劑的配制及充填 根據不同季節選用不同的靜態破碎劑,水灰比越大,膨脹壓力越小,反應膨脹時間越長??紤]到施工時破碎劑的流動性,拌制時水灰比為30%。用人工攪拌漿體,水平孔用較小的水灰比,并在孔口用海綿塞封填,或用干稠的膠泥狀的破碎劑搓成條塞入孔中搗實并從外部堵塞。下斜孔或向下孔可直接灌注。 3、破碎施工 使用9m3電動空壓機1臺,7655型鑿巖機1臺,G10型小風鎬若干。 (1)施工工序 鉆密集預裂炮孔→鉆充填破碎劑炮孔→拌制破碎劑→灌注充填破碎劑→小風鎬破碎→對保留結構采用人工或小風鎬剔鑿處理。 (2)施工安全措施 1) 因系高空作業,作業人員需系安全帶,戴安全帽。 2) 嚴格按布孔要求鉆孔作業,以保證前期預裂縫的產生及破碎充分完全。 3) 拌制、充填、灌注破碎劑及使用風鎬破碎時,需佩戴防護鏡,拌制人員需戴橡膠手套作業。 4) 做好破碎樓板梁的下部支撐及護攔圍擋工作,以免碎塊墜落。
無損靜力切割 拆除技術
針對在筋混凝土結構上開孔洞及局部構件拆除,如何避免錘擊等破壞性常規施工方法造成結構的損傷這一難題,我公司引進多種施工機具,通過專業施工機具局部處理不會對周邊結構造成任何損傷,并根據實際情況對其洞口周邊構件進行加固的一種技術。 
[ 應用實例3]
1 、拆除方案的選擇 綜合考慮工程質量、安全和環境保護的要求,確定用靜態破碎劑脹碎法結合人工機械拆除,用破碎劑脹碎法,施工過程中無爆破聲響、無飛石、無震動、無毒氣,對周圍環境無干擾,滿足工程安全和環保要求,為此進行試驗段施工,在確保施工方案可行后方可進行大面積拆除。
圖 1 2+774 — 2+386 段原擋墻拆除及重建示意
2 、無聲破碎劑拆除試驗 2.1 試驗段及破碎劑選擇 為保證拆除方案的可行性和拆除質量,確定施工各項參數,決定在 2+306.7~2+317.7(I 試驗段 ) 和 2+317.7-2+327 . 7( Ⅱ試驗段 ) 取兩個試驗段進行試驗,通過現場試驗選用合適的施工方案及參數。擋墻拆除高度 0.7~ 1.7m ,使用無聲破碎劑配合分裂機、液壓破碎錘進行拆除。 原擋墻完整性較好,且在開挖過程中只有一個自由面,因此,必須選用能提供較大膨脹力的靜態破碎劑,經比選后采用了中巖牌高效靜態破碎劑 (HSCA) ,其技術參數見表 1 。
表 1 高效靜態破碎劑技術參數
|
型 號 |
適用溫度 / ℃ |
膨 脹 壓 /MPa |
|
8h |
24h |
48h |
|
HSCA-I |
35 ± 5 |
≥ 30 |
≥ 55 |
≥ 90 |
|
HSCA-II |
25 ± 5 |
≥ 20 |
≥ 45 |
≥ 60 |
|
HSCA-III |
10 ± 5 |
≥ 10 |
≥ 25 |
≥ 35 |
2.2 無聲破碎劑破碎機理和特點 高效無聲破碎劑是一種粉狀高效能安全破碎材料,用以安全拆除混凝土建筑和開采切割大理石、花崗巖。用水將 HSCA 調成漿體灌入巖石或混凝土鉆孔中,經 8~48 h 產生的膨脹壓可使被破碎體產生裂紋,隨著時間的順延裂紋會不斷擴大,利于鏟除作業。特別適用在不宜采用炸藥爆破的場合,進行破碎或拆除作業,使用安全,效率高,不中斷交通,不停工停產。
2.3 鉆孔參數設計 根據已有施工經驗的鉆孔參數 ( 表 2) ,設計兩個試驗段的鉆孔參數如圖 2 ,其中 I 試驗段鉆孔孔口位于拆除高程以上 5cm 處,孔向水平下傾 30 °,孔距 30cm ,孔徑 3cm ,孔深 40cm ; II 試驗段鉆孔孔口拆除高程以上 5cm 處,孔向水平下傾 30 ℃ ,孔距 50cm ,孔徑 4cm ,孔深 50cm 。
表 2 鉆孔參數
|
被破碎物體 |
孔徑 /mm |
孔距 /cm |
孔深 |
抵抗線 /cm |
用量 / ( kg · m -3 ) |
|
軟質巖破碎 |
35~50 |
40~60 |
H |
40~60 |
8~10 |
|
中硬質巖破碎 |
35~65 |
30~60 |
1.05H |
30~50 |
10~15 |
|
巖石切割 |
30~40 |
20~40 |
H |
100~200 |
5~15 |
|
素混凝土破碎 |
35~50 |
40~60 |
0.8H |
30~40 |
8~10 |
|
鋼筋混凝土破碎 |
35~50 |
15~30 |
H |
20~30 |
15~25 |
2.4 拆除步驟 a) 布孔:如圖 2 。 b) 清孔:鉆孔完成后,采用高壓風清孔。在充填漿體前清除干凈孔內雜物,禁止有水進入孔內稀釋漿體,影響破碎效果,延長破碎時間。 c) 填充:將孔內雜物用氣泵吹干凈后,將攪拌好的 HSCA 漿體在短時間內灌入孔中,經過 3~20h 后 HSCA 產生膨脹壓,可使巖石產生裂紋,隨著時間推移裂紋會不斷擴大。最后用挖掘機挖裝鏟除作業。 d) 在水平的裂縫形成后,使用人工風鎬和分裂機將待拆除的混凝土墻破碎后裝車外運。
3 、試驗結果 統計下來, I 試驗段鉆孔共 34 個, II 試驗段鉆孔共 21 個。水和破碎劑均按 1 : 2.85 的比例配制,共用 2 箱 ( 40kg ) 高效無聲破碎劑。.在 2005 年 9 月 11 日 上午 8 點開始填無聲破碎劑, 10 點 45 分填完。次日凌晨 3 點開始裂縫,上午 8 點檢查裂縫的結果。
檢查結果如下: I 試驗段的混凝土擋墻全部在設計拆除高程附近裂開,開裂線與設計拆除線偏差 2 -3 cm ,符合設計要求 ( 圖 3) ;Ⅱ試驗段 2 十 317.7-2+324 范圍,已經裂開,開裂線與設計拆除線偏差 3~ 4 cm ,比 I 試驗段的偏差稍大但仍符合設計要求,而 2+324 — 2+327.7 范圍內的混凝土擋墻卻沒有開裂 ( 圖 4) , 2+324 — 2+327.7 段未開裂的原因可能與鉆孔間距過大池工過程中水和破碎劑未嚴格按廠家推薦的比例配制 ( 漿體偏稀 ) 或充填不夠密實有關。 根據試驗結果,在確保鉆孔間距既便于拆除施工又不影響剩余部分結構使用功能的前提下,經現場監理確認,項目部確定了按 I 試驗段的施工參數進行全施工段內的擋墻拆除的施工方案。
4 、施工效果 項目部按照以上試驗參數,用靜態破碎劑對原擋墻進行破碎,施工中無震動,無沖擊波,無飛石,既保證了施工安全和工期,又保證了未拆除結構的完整性和強度,取得了較好的效果 ( 圖 5 、圖 6) 。
 |
That product is broken up material in that a kind of new fleetness, settle,bear the low temperature.Because of having the vibration of have no and have no the flying rock, not poisonous spirit. the free from pollution safety breaks.But extensive usage in city inside the not proper the mansion that blow up dismantles to move and the concrete building tores down safely, combining can attain to need to be tored down of tore down, the reservation that demand reserve.Have the fleetness because of the material of stone broken again, have no the internal injury, can press plan request to proceed broken with incise, than the explosive blow up and can increase a material rate 3 times are above, valid protection mineral mountain resources etc. advantage, more extensive usage in granite, marble, jade...etc., the valuable the material of mines and cuts to mow the top.That product call to have no a broken up a inflation again. The city, factory tores down with the bridge concrete, the valuable the material of in marble, jade...etc. in mountain in mineral mines to need to use broken up in in , that technique wased researched to manufacture by Japanese small farmland cement company at the earliest stage.Domestic in 85 years too broken up in a type in gave birth to, its main weakness is to produces the period too long, usually open in summer the needs 10 hours, the spring autumn also want 10- 40 The hour is above, in winter for more than 20-80 hours, is a sever winter season particularly, air temperature at 0 the degree of Celsius below, that product can't use, the some small production in domestic factory house is while introducing that product, introducing many an assistances operation method for the customer such as sprinkling to note the hot water in winter, using the fire burns, covering with the cotton quilt, adding the hair to increase temperature, again such as the summer requests the customer uses the depressant lower the some means in etc. in temperature.Then can make stone anticipated, the concrete opens the , even and like this, because of its without a data of science to guide the customer, showed the blemish of that product obviously, therefore make mineral mountain or move workplace or lockouts wait for.Make the construction degree of progress suffer the influence.Broken up in this kind of all with close, can't the fixed amount open quickly the stone anticipates, concrete, construction can have no to plan a proceeding.The purpose that this patent invents is a current marble in solution, jade etc. stone material with concrete of ground the fission adopts time but a kind of fast fixed amount that provide, bear the of the low temperature broken up.
☆ Function and model number l 、 That product mixs blend with water, occurrence chemical reaction. creation inflation but occurrence effect, inflation pressure is 30-80 。 2 、 Effect that play has something to do with temperature directly department. therefore divide autumn, winter in summer, spring three kinds of model numbers. press season to use, mean with the Ⅰ , Ⅱ , the type of Ⅲ respectively, see also the form A 。
|
Type number |
Apply the temperature scope |
Have to note |
|
SCA - I |
25 - 40 The degree of Celsius |
Celsius a firecrackers bore diameter
38 - 50 mm |
|
SCA - II |
10 - 25 The degree of Celsius |
|
SCA - III |
-15 - 10 The degree of Celsius |
3 、 That each type cent fleetness, slow soon two kinds of.The usage of that has something to do with temperature, drive breaking thing degree of hardness, bore being apart from waiting term.Therefore, can hardly point out to is broken the thing open time of in a specific way, fleetness about open the within 10 hours;Slow soon about at 36 or so open the 。 4 、 Need according to the customer, can produce the special model number product.be apart from the reasonable circumstance in layout in the bore next, can be more accurate to settle open the , open time of as half an hour, a hour,2 hours...etc. respectively.do not need the any protecting in winter, can still in - 5 hours in 10 minutes inside open the , also may suffer the other outside because of, the influence opens time of 。 5 、 That product for powder form, have no Bang burnable composition, the not afraid fire burns with hits, do not belong to the dangerous embargo article, dividing the box packs with weave the bag two kinds of 。
☆ Operation method 1 、 Beat the bore in advance, customer can according to is broken the different bore in soft hard degree,( see also the form B) adoption path, bore of the thing be apart from.Use machine etc. equipments that getting empty and pressing the type form need to beat the bore by.Beating the bore inside can't have the water with the miscellaneous articles or objects 。
|
Were broken |
the thing bore path( mm) |
bore be apart from( cm) |
the bore the deep |
measures with the medicine |
|
Freestone |
38 - 45 |
40 - 50 |
0.8 H |
bore path is 38 -45 A hour,
The each rice bore can pack the 2.5 Kgs is or so |
|
Marble |
38 - 45 |
10 - 25 |
0.9 H |
|
Granite |
38 - 45 |
10 - 15 |
0.9 H |
|
Concrete |
38 - 45 |
15 - 30 |
0.8 H |
|
Reinforced concrete |
38 - 45 |
10 - 15 |
0.9 H |
2 、 Mix blend to fill with :Press a principle for breaking first the of adds the 25 the 30 kgs of —ss : water, in container( wait such as the wash basin, water ) proceeding the agitation, sparse mire form, canning flow but ising not too sparse, according to littlely mixing to pack quickly, mix blend the even empress into beat the bore inside in advance, the bore inside can't stay the crevice.From mixing blend to pour the product into the bore inside can't over 4 minutes, affect to open time of otherwise.Or press a the 100 kgs breaks the of add the water 10 —s a waters mix in the container inside dense mire form, can the conglobation of , join to beat in advance the good bore inside use the thing in multiple layers solid, can't stay the crevice in the center, to pack the solid, want to be little to mix the quick equally, from mix blend to pack into bore inside can't over 5 cents . time over long affect to open time of , have fermented hot to the touch and dilatant packing again, otherwise can't make is broken the thing opens the , the four seasons of a year all proceed the agitation with the cool water, use the hot water absolutely not to, otherwise may result in this product loses the effect.The perpendicular bore need not stop, level or inclination a heavy bores want to stop bore, in order to prevent syrup run off, if meet rain, snow a bore want to insulate the rain water, need not proceed any protection in winter 。
☆ Announcements 1 、 On the safe side, start construction operate the personnel must wear the protection , the head wants to deviate bore, can't also use orthoptic bore in eye, the in order to prevent sprays the syrup, disservice eye.Just beat bore or high fashionable dresses in air temperature medicines to spray the syrup most easily, even notice the safety.The operation completes, leave the spot immediately, until is broken the thing is before openning the , ising broken thing neighborhood can't someone or other with valuables, guarantee the spot safety, in order to prevent occurrence accident trouble 。 2 、 Spray the syrup in case of the not appropriate occurrence in operation, beat into not eye inside of wearing the protection , apply the clear water to flush immediately and again and again, until hurtle to clean, best drop into a few acetic acids or boric acid in water inside( contain sour measure 0.1%), the curative effect is the best.That belongs to the alkaline.Such as the can not compare with the hour hurtles to clean, immediately arrive hospital cure, may result in the eye becomes blind.The breaks of to the skin contain light a causticity, the hour of construction needs to wear foam rubber protection gloves 。 3 、 Defend the tide conservancy, under the not summit to tide circumstance, protect a year in period in quality half 。 4 、 This article should the casual wear is light to unload, defending bag inside the tide break, should on time the proceeding defends the tide handles, otherwise easy expired 。 |
[ 應用實例 4]
無聲破碎劑在高強度混凝土破碎中的應用
哈爾濱動力股份設備有限公司出??诨囟诠こ涛挥诤颖笔∏鼗蕧u市經濟技術開發區東區(山海關開發區),山海關船廠西側,哈動力一期試車站南側。該出海口基地二期工程包括鐵路專線兩條,露天堆場一座,重型容器聯合廠房及附屬建筑 ( 探傷室、去離子水站、倉庫、清潔室、噴丸室等 ) 。其中,露天堆場長約 270 m ,寬約 50 m ,占地面積約 13 500 m 2 ,設 30 m 跨 50 t 龍門吊一部;重型容器聯合廠房為四跨單層建筑,建筑高度約 30 m ,南北長約 180 m ,寬約 136.2 m ,占地面積約 24 500 m 2 ;西部兩跨,跨距 30 m ,設 160 t 橋式吊車兩部, 50 t 橋式吊車一部;重型容器聯合廠房附屬建筑均為一層,占地面積約 6 500 m 2 ;建筑占地總面積約 44 500 m 2 。重型容器聯合廠房擬采用排架結構,獨立柱基礎,最大單柱荷載 40 000 kN ;附屬建筑采用獨立基礎,基礎埋深約 2.0 m ~ 3.0 m ;建筑重要性等級為二級,場地和地展等級均為二級。 本工程西兩軸各有一基礎承臺與原碼頭露天跨承臺咬合,由于設計變更,需將原露天跨預留杯口的部分結構進行破壞,以滿足與本工程承臺的結合。但由于露天跨承臺已于 2004 年底施工完畢,其結構使用的是 C40 混凝土,在長期地下水的養護下經現場使用混凝土強度回彈儀測定,實際強度已達到不小于 C55 混凝土的強度。 經項目部相關人員討論決定,為了保證原露天跨承臺的結構安全,決定進行人工剔鑿,使用風鎬配合施工。經過 10 多天的施工,覺得方法雖然可行,但已是 10 月中旬,天氣一大大變冷,為了保證工期及施丁質量,必須尋找更加有效的施工方法來加快施工速度。 2 、非爆炸性無聲破碎劑產品性能特點 是一種非爆炸性無聲破碎劑,用于切割和破碎巖石、混凝土構筑物的高效粉狀膨脹材料。 用適量的清潔冷水把破碎劑攪拌成漿體,灌入混凝土和巖石的鉆孔中,可產生 50MPa( 500kg / cm 2 ) 的膨脹壓力,經過一段時間,便可以在無振動、無噪音、無飛石和無毒氣情況下把混凝土和巖石破碎、切割。2.1 安全性 是安全的靜態破碎劑,在破碎物體時不產生振動、噪音、飛石和瓦斯,可在無公害的條件下安全作業。 2.2 非爆炸性 是非爆炸性物品,不屬于危險品,和普通貨物一樣購買、運輸、使用。不受國家危險品、爆炸品管理限制。 2.3 環保性 是環保性產品。使用中無地面震動、無噪音、無飛石、無毒氣、無粉塵、無沖擊波以及對環境無任何有害物質,是國際流行的無公害環保產品。 2.4 通用性 采用加入適量抑制劑來調節不同溫度下的水化反應速度,以替代傳統的破碎劑,根據使用時作業環境溫度不同,選擇不同產品型號,工作效率和操作性可大幅度提高。 2.5 簡易性 使用簡易性。本品用水攪拌后注入鉆孔中即可,不需雷管,不需點炮,使用時不需專業工種,也不需配置專職爆破技工,操作人員培訓時間很短。 2.6 可控性 可以很容易地控制被破碎體破碎完成后的形狀,需破則破,需留則留。 綜上所述,可見破碎劑應用范圍特別廣泛,特別是破裂、切削、破碎巖石、一般混凝土構筑物和鋼筋混凝土構筑物?;诎踩紤],不可能使用爆炸手段時破碎劑是一個非常理想的解決方案,在破碎工程施工時,不會對周邊建筑物產生飛石或振動沖擊波之危害。 3 、非爆炸性無聲破碎劑工作原理 由于 ( 破碎劑自身與適量的水拌和后即始水化反應,經凝結、硬化同時發生顯著的同體膨脹,破碎劑漿體灌入混凝土和巖石的鉆孔中可產生大于 50 MPa 的膨脹壓力。混凝土的抗拉強度為 2 MPa ~ 4 MPa ,破碎劑能使混凝土破碎,是基于它對孔壁產生的膨脹壓力而引起的張拉應力大大超過它們的抗拉強度所致。 如圖 1 ,圖 2 ,圖 3 ,圖 4 所示,破碎劑的膨脹壓力在 24 h 左右將達到最大值,但在后期仍能繼續增大,其次水灰比、溫度、孔徑均對破碎劑的膨脹壓力有所影響。 4 非爆炸性無聲破碎劑施工工藝 1) 施工前應檢查藥劑包裝是否完好無損 ( 包裝破損的材料有可能影響施工質量 ) ,并準備好足夠的藥劑、潔凈拌合水、塑料拌合桶、木質捅竿、防護眼鏡、橡膠手套、防護面罩、封口器 ( 木楔和鐵楔 ) ,準備完畢,開始進行打眼,為了保證原承臺結構的安全性,采取從中間向兩側步眼,并根據表 1 選用直徑為 40 mm 的鉆頭 ( 由于破碎部分深約 6 000 mm ,鉆桿選用 1 500 mm ~ 2 000 mm ) ,孔距定為 20 cm ,距需保留部位 300 mm 停止步眼 ( 破壞范圍約為 200 mm ) 。每一層約 130 個~ 150 個眼,打眼完畢,仔細用吹管將眼內殘留的雜物全部吹凈,并盡量無水。
|
|
|
圖 1 不同型號破碎劑水化反應至 24h 左右,膨 脹壓力接近最大值,但仍可繼續增長 |
圖 2 破碎劑的膨脹壓力隨水灰比增大而減少 |
|
|
|
圖 3 破碎劑的膨脹壓力隨溫度升高而增大 |
圖 4 破碎劑的膨脹壓力隨孔徑增大而增大 |
表 1 鉆孔參數與使用量
|
被破碎體 |
鉆孔參數 |
使用量 kg / m 2 |
|
孔徑/ mm |
孔距/ cm |
孔深 |
|
軟質巖破碎 |
35 ~ 50 |
40 ~ 60 |
H |
8 ~ 10 |
|
中硬質巖破碎 |
35 ~ 65 |
40 ~ 60 |
H+5 % H |
10 ~ 15 |
|
巖石切割 |
30 ~ 40 |
20 ~ 40 |
H |
5 ~ 15 |
|
無筋混凝土、孤石 |
35 ~ 50 |
40 ~ 60 |
80 % H |
8 ~ 15 |
|
鋼筋混凝土 |
35 ~ 50 |
15 ~ 30 |
90 % H |
15 ~ 25 |
布眼設計原則:中心孔間距取決于孔徑大小以及巖石硬度,如果要最佳破碎效果,在正常施工前須預測試。小的孔徑,中心距會越??;大的孔徑,中心距會越大,會加速破碎時間,例: dia30 min : 35 cm (hole t0 hole) , dia 35min : 40 cm , dia 40mm : 45 cm , dia 45 mm : 60 cm 。 鉆孔直徑與破碎效果有直接關系,眼孔過小,不利于藥劑充分發揮效力;眼孔過大,易沖孔。一般推薦用直徑為 40mm 的鉆頭。當被破碎對象為孤立體時,鉆孔深度為破碎體厚度的 80 %~ 90 %。孔內有余水和余渣應用高壓風吹洗干凈。 破碎劑是一種粉末材料,使用前需與清潔冷水進行充分混合。即按一包藥劑加 30 %~ 34 %的水 ( 重量比 ) 來調配漿水,也就是大約將 1.5 L ~ 1.7 L 水倒入攪拌容器中,再緩緩倒入一袋 5 kg 破碎劑充分地攪拌成流動性的漿體,如用手攪拌時要戴橡膠手套。 將拌和好的破碎劑漿體迅速倒人孔內后,并用略小于鉆孔的捅桿搗實捅緊,灌滿后立即用海綿或布料頭將孔口塞住。在操作過程中必須要將藥劑全部裝滿孔深的 100 %。工人在施工中,必須保證配合默契,要做到隨清孔、隨拌藥、隨灌藥,已經發燙或開始冒氣的藥劑不得向孔內填注,要少拌勤裝,才能保證最好的施工效果,在灌孔作業完畢后,安排專人進行看護,無關人員不得靠近,預防噴孔發生時,造成人員傷亡事故。
[ 應用實例 5]
貴重石材荒料無聲切割
玉石、花崗石和大理石等貴重石材資源有限,要實行保護性開采。人們最先用人工鑿孔劈裂的原始方法。有了炸藥后用爆破的野蠻方法,這無疑是“殺雞取蛋”,對石材資源破壞極大?,F在政府已明令禁止這種采礦方法。 20 世紀初,意大利、德國等開發了用串珠繩鋸的開采方法,實現了有計劃、保護性開采貴重石材荒料。但投資大、設備復雜、操作嚴格,適用于大型礦山。但對于中小型礦山或偏遠山區就不適用。 自從日本和我國先后研制成功靜態破碎劑后,在石材礦山上,采用鑿巖機鉆孔,灌入無聲破碎劑 ( 簡稱 SCA) 漿體,經 8 ~ 24h ,就可把巖石切割開來,基本無損傷,荒料的整形量小,成材率大大提高。這種方法適合于整體性較好的礦體,投資小,設備簡單,工人操作易于掌握,開采成本也低?,F今,我國部分石材礦山開采都采用這種石材荒料無聲切割技術。意大利、澳洲、南美等石材礦山也引進此開石技術。 盡管石材荒料切割機理與混凝土、巖石的破碎機理基本相同。但是,有它的特殊性,即在鉆孔中灌入 SCA ,要巖石斷裂成塊,而不要破碎成四分五裂。 進行了 SCA 切割獨山玉石、大理石和花崗巖現場試驗,提出了 SCA 切割石材荒料的機理。 試驗選擇了三種不同硬度巖石——玉石 ( 包括玉石圍巖的輝長巖 ) 、大理石及花崗巖,它們均為礦物結晶顆粒的集合體,屬堅硬及中等硬度巖石,大理石及花崗巖有著明顯的各向異性的特點。試驗測定三種巖石的力學性能參數如表 1 。
表 1 三種巖石的力學性能
|
項目
巖石名稱 |
容重 (t/m 3 ) |
抗壓強度 (MPa) |
抗拉強度 (MPa) |
脆性度 (R 壓 /R 拉 , MPa) |
|
獨玉 |
3.09 |
167.4 |
18.0 |
9.3 |
|
大理石(內鄉) |
2.66 |
34.7 |
1.5 |
23.1 |
|
花崗巖(鎮平) |
2.71 |
160.2 |
7.7 |
20.8 |
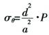
注:大理石、花崗巖的力學性能參數均為湖北省地質礦產局中心試驗室測定的數值。 通過試驗,我們認為巖石的抗切割性主要決定于它們的抗拉強度大小和脆性度值。巖石的抗拉強度愈大,愈難切割;而脆性變值愈大,對切割愈有利。所謂脆性度值是指同一巖石,在同一方向的抗壓強度與抗拉強度的比值。從表 1 中可知,三種巖石中,獨玉最難切割,大理石最易切割。通過試驗已證實這一規律。 關于無聲破碎劑切割巖石的機理,我們通過對玉石、大理石及花崗巖的百余次切割開采及單體切割試驗獲得資料證明,它與所有炸藥爆破巖石不同。炸藥爆炸引起巖石破壞作用是炸藥瞬間產生的應力波及相伴隨的高溫高壓氣體產生膨脹的共同作用結果。而無聲破碎劑的切割巖石是無聲破碎劑在鉆孔內緩慢進行的一種水化反應,生成 Ca(OH) 2 膨脹結晶形成膨脹壓力對其周圍介質起破壞作用。其特點是一種靜壓作用使巖石斷裂。 當兩個鉆孔孔壁在一定壓力 P 的作用下,二維應力問題的解:在兩圓孔中心連線與鉆孔壁面的交點處,切線方向發生非常大的拉應力〔 σ θ 〕,根據厚壁圓筒理論: ,式中 d 為孔徑, a 為孔距,二孔之間的應力分布如圖 1 所示。

圖 1 兩鉆孔同時受靜壓作用下的切向應力分布
即使相鄰兩孔相距較遠時,這種應力分布也同樣存在,就是說切向應力〔 σ θ 〕最大值位于相鄰兩鉆孔中心連線上的鉆孔壁面上。隨作用距離的增大, σ θ 按孔距 a 2 衰減。根據應力集中原理,當 SCA 的膨脹壓大于巖石的抗拉強度時,裂縫首先就在相鄰兩鉆孔中心連線的壁面上發生。 我們知道,在任何材料內部都存在著各種缺陷 ( 裂隙 ) ,如果事先在巖石的欲切割面內鉆孔,就人為地生造成了巖石內部的缺陷,它們明顯地削弱了欲切割巖石面的抗拉能力。如果這些缺陷的材料處在復雜的應力狀態之下,加之無聲破碎劑水化反應產生的膨脹壓力的作用,將會在孔壁端部產生較大的應力集中。在相鄰兩圓孔中心連線方向的巖壁上裂縫尖端的應力更為突出。從斷裂力學知道,一旦裂縫尖端的應力強度因子大于材料 ( 巖石 ) 的臨界應力強度因子,超過材料的斷裂韌性時,這些裂縫便開始擴展,并以一特定的速度發展,優先擴展的長裂縫將比其他短裂縫更易于擴張,從而促使其他短裂縫停止擴張。相鄰兩圓孔內壁上的裂縫在其連線方向上發展的結果,最終導致巖塊沿鉆孔連線方向巖石面開裂分離。 如果鉆孔切割參數選取合理,在整個欲切割面上所有鉆孔內無聲破碎劑的共同作用下,當 SCA 產生的膨脹應力等于或大于切割巖石面的抗拉應力時,就會使巖石沿切割面斷裂開來。 巖石在單向拉伸應力作用下呈脆性斷裂,我們采用 Tresea 屈服條件公式推導的最小膨脹壓予以計算。
屈服條件公式:

式中: σ c ——巖石破壞時的屈服應力, MPa ;
Rt ——巖石的抗拉強度, MPa ;
P —— SCA 產生的膨脹壓, MPa ;
a —— 孔間距 ,㎝ ;
d ——孔徑 (cm) 。
在 SCA 作用下,巖石斷裂開來,須滿足如下條件: σ c =0 (2)
根據 (2) 式,將 (1) 式化簡為:
( 3 )
式中 P min ——為巖石斷裂時,鉆孔中的 SCA 產生的最小膨脹壓。 我們根據對三種巖石進行試驗時選用的孔距、孔徑及巖石的抗拉強度代入 (3) 式,分別計算出最小膨脹壓,見表 2 。由此可見,對于特定巖石,孔距 (a) 與孔徑 (d) 之比值 K 是決定性參數。我們通過大量試驗認為,大理石的 K=10 ~ 12 ,花崗石的 K=7 ~ 10 ,玉石的 K=5 ~ 7 。經計算得出最小膨脹壓,見表 2 。通過 SCA 現場切割巖石試驗結果,選用的孔徑、孔距是合適的。
表 2 三種巖石需要的最小膨脹壓
|
巖石名稱
項目 |
玉石 |
花崗巖 |
大理石 * |
|
孔距 a ( ㎝ ) |
20 |
40 |
40 |
|
孔徑 d ( ㎝ ) |
4.0 |
4.0 |
3.4 |
|
SCA 膨脹壓 (MPa) |
43.0 |
35.4 |
28.5 |
|
Pmin(MPa) |
36.9 |
30.6 |
24.2 |
* 大理石的抗拉強度值由于產狀不同,受巖石的層理的影響較大,這里計算時,其抗拉強度值選用常用值 7.0MPa 。
[應用實例 6 ]
開采石材荒料的方法
1 無聲破碎劑全切割法 用無聲破碎劑 ( 簡稱 SCA) 破碎混凝土構筑物的設計比較容易,因只要求把它破壞拆除,但開采石材荒料不同,它要求切割成具有行業標準規格的荒料,不傷石質,表面平整度不超過± 3cm ,完整性好。因此,做好礦山開采工作十分重要。
1.1 礦山調查 開采大理石、花崗石等貴重石材之前,必須對礦山有初步調查,最好請地質隊進行地質勘探,了解礦體的貯量,礦山的礦脈走向,節理發育情況,目估理論成荒料率,成塊性大小。如果礦體節理發達,裂隙甚多,成荒料率在 30 %以下,則無工業價值,即使開出來的荒料,成板率低。所以,礦山地質調查是確定有無開采價值和石材開采設計的必要前提依據。切忌盲目開采,否則得不償失。所謂合理的成荒料率,即 10000m 3 礦體,能開出 3000m 3 以上的合格石材荒料,才有開采價值。
1.2 確定礦山開采設計
經地質調查,確有開采價值,則進行礦山開采設計。如果是露天礦,首先把覆蓋土逐步剝離,露出礦體。如果礦體表層,由于風化、水蝕作用、裂隙多、支離破碎,可以用 SCA 或黑火藥剝離掉,不可吝惜。礦山開采應根據實際產狀布置開采工作面,并根據礦體的天然紋理,節理面、走向和裂隙確定不同的臺階高度、長度和角度。這一步驟甚為重要。對礦床節理裂隙規律了解越是深透,開采工作便越主動,這是充分降低石料損失,提高荒料率的重要途徑。如果礦山開采設計選擇不當,會破壞石材的完整性,造成損失。
1.3 開采程序 1.3.1 切割階段 ( 即大體積切割 ) :在一個開采面上,首先從縱向開挖兩條塹溝,使臺階成為四個自由面,以利于開采。開塹溝時,盡量不要用炸藥,可以用 SCA 或 SCA 與黑火藥聯合開挖塹溝,盡量不要損傷臺階的石質,開塹溝是比較艱難的工作,因為只有兩個自由面,只能逐層往縱深開挖,開出的塹溝面盡量平直,深度足夠,為下一步大切割創造良好的條件。 工作面長度,即兩塹溝間距,有 10m 、 20m 、 30m 的,最理想的是 10 ~ 20m ,不宜太長,因為過長, SCA 產生膨脹壓力差較大,裂紋開展不一致,產生分枝裂紋,會影響荒料完整性。 臺階高度一般為 1.5 ~ 2m ,如果存在天然層理面或水平裂隙,則依此面為高度,無節理則按取石材塊度大小確定臺階高度。 臺階寬度,即最小抵抗線,一般為 1.0 ~ 2.0m 。 工作面長度和臺階高度、寬度確定后,用墨斗線放線,在直線上用鑿子把孔距點鑿出來,便于鑿巖工按設計孔距鉆眼,在工作面上是垂直鉆孔,垂直鉆孔盡量要垂直,偏差要小,以保證切割面垂直平整。如果在一條直線上各個鉆孔的垂直度不一,會增加 SCA 開裂的困難,開裂面不平整,變鋸齒狀,降低荒料開采質量。在臺階高度的底線上,確定孔距后,鉆水平孔,各孔的水平度盡量一直,與垂直孔成 90 °,或稍大于90 °,如小于 90 °,形成一個夾角,不利于 SCA 開裂。用 SCA 切割巖石示意圖見圖 1 。

圖 1 用 SCA 切割工作平臺示意圖
開采荒料質量如何與鉆孔技術和熟練水平有密切關系,尤其是鉆水平孔,不好操作,很費力氣。在臺階前面要把石渣清理掉,盡量平整,在水平孔前可放一條平滑、堅硬的木枕,作為鉆機的支點,各點要打在水平線上,不能偏差。 鉆孔深度一般為臺階的設計寬度和高度的 80 %~ 90 %,不足者,易產生崩角現象。 每鉆完一孔,要把孔內石粉吹干凈,用棉紗、紙或木塞堵口,防止雜物跌入。因雨天,孔內積水,則要把水抽出來。 最后,把 SCA 與水拌成漿體,依次灌入鉆孔中,對于垂直孔,水灰比為 1:0.30 ~ 0.35 ,直接傾倒入孔,用粗鐵絲振搗排氣,使 SCA 漿體填充密實。對于水平孔,可用水灰比 1:0.25 ~ 0.28 把 SCA 拌成膠泥狀,搓成條塞入孔中,用木棍插實即可。 由于 SCA 與水作用后即進行化學反應,為使 SCA 膨脹壓能在同一個切割面上作用一致,每組灌 5 ~ 6 個孔,在一排孔上同時完成 SCA 灌孔作業,水平孔填孔慢,更要分配好人力??偟囊螅?SCA 灌孔時間前后差不要超過 1h 。 一般來說,由于水平沉積和節理關系,水平孔比垂直孔早發生裂紋,為減少時間差,先灌垂直孔,后灌水平孔。 灌孔完畢后,在氣溫 10 ℃ 以上者,不用東西覆蓋,如氣溫低于 10 ℃ 者,要用二層草席覆蓋孔口,以起保溫作用,加快 SCA 膨脹壓的發揮。 裂紋出現后,可灌入少量水于縫中,加速 SCA 水化反應,增加裂紋寬度,當裂紋寬度達 0.5 ~ 1 ㎝ 時,說明整個切割面基本斷裂開了。經過 SCA 切割,一般可取出長 1 0 ~ 20m ,寬 1 ~ 2m, 高 1 ~ 2m(20 ~ 30m 3 ) 的大塊體。
1.3.2 分切階段:用液壓千斤頂或人工撬開,或用鋼絲把大塊石料套住,用絞車拉出來,目的是使大塊體離床。然后按用戶需要規格和起吊運輸能力,將大塊料進行分割成小塊。為了使切割面平整,宜用小孔徑 (Ф 30mm ) 小孔距 (2 0 ~ 30cm ) 。步驟是:先劃切割線,按設計孔距垂直鉆孔,灌入 SCA 漿體即可,由于大塊料體積較大,應先灌兩頭,后灌中間。由于大塊料四面凌空,用 SCA 分切大塊料是很容易的,斷裂后,用人工撬杠分離,見圖 2 。

圖 2 用 SCA 把大塊料分切成規格荒料
1.3.3 搬運階段:將分切荒料用桅桿吊,或卷揚機把荒料吊裝在汽車或拖拉機上,運往各加工廠或車站、碼頭。 最后,為了便于加工和運輸,一般都用人工對荒料進行整形,使荒料六面基本平整,平整度不超過± 3cm 。 用 SCA 開采荒料的方法簡便、安全,步驟是鉆孔設計—鉆孔—灌入 SC A — 開裂—離床—搬運。問題在于工作平臺的選擇與設計以及開挖塹溝,這兩步準備工作搞好,就能為 SCA 切割大塊料和分切規格荒料創造良好條件。為使巖石按設計面開裂,根據應力集中和尖端效應原理,最好在孔與孔之間鑿出一條定向槽。 如果見石就開,零敲碎打,開采無計劃,就會增加 SCA 開采的困難性,取不出大荒料。 能不能用 SCA 進行三面切割荒料呢 ? 一般來說是可以的,如圖 3 所示,但由于自由面只有三個,困難較大,原因是三個切割面灌入 SCA 后,膨脹壓不均勻,切割面開裂時間有快有慢,產生剪應力,容易“爛角”,或者裂紋延伸到鄰近巖石上,破壞巖體。因此,采用三面切割時,要求鉆孔設計和鉆孔技術更嚴格,使三個切割面開裂時間比較一致,斷裂后,要及時把巖塊分離開來,否則裂紋繼續延伸,破壞鄰近巖塊。

圖 3 SCA 三面切割荒料
2 用 SCA 與串珠繩鋸聯合開采荒料的方法 在有串珠繩鋸的礦山,可以采用與 SCA 聯合開采荒料的方法,串珠繩鋸有許多優點,但其成本較高,工效較慢,我國普通串珠鋸工效為 1m 2 / h ,意大利的快速串珠繩鋸為 2 ~ 6m 2 / h 。如果采用串珠繩鋸作水平切割,用 SCA 作垂直切割,總成本會降低,工效能提高。采用此聯合開采方法,用串珠繩鋸作水平切割,然后用 SCA 進行垂直切割和分塊切割,取得顯著效益,見圖 4 。

圖 4 SCA 與串珠繩鉆聯合切割法
關于串珠繩鋸的配套機具、性能以及開采方法,這里不作介紹,請參閱有關資料。 目前,一些礦山使用串珠繩鋸作水平鋸切割后,用鑿孔打楔劈裂作垂直分離,由于打楔劈裂損失 ( 包括鉆機和劈裂面凹凸不平 ) 達 20cm 左右,使荒料率下降約 24 %,如果改用 SCA 作垂直切割,不但省去勞動力,而且還可提高荒料率。試驗表明:石材成荒率可提高 20 %以上。 國外一些大型礦山,采用串珠繩鋸對石材礦體進行垂直和水平切割 ( 臺階式 ) ,然后用 SCA 進行分塊切割,此方法可提高工效,降低開采成本。 對于大、中型礦山,這種聯合開采法是個方向。目前,為適應鄉鎮石材企業發展之需,國內有關單位已研制出小巧靈便、成本較低的小型串珠繩鋸,它與 SCA 相配合使用,如虎添翼,將使整個石材開采行業大為改觀,荒料的產量成倍增加,質量也大大提高了。
3 SCA 與黑火藥聯合開采法 此方法是用 SCA 作垂直切割,水平切割用 SCA 預裂,再用少量黑火藥把大塊料抬起離床,如圖 5 所示。水平切割面上隔孔裝入 SCA 起預裂作用, 2 ~ 3 個空孔上裝入少量黑火藥,用 SCA 堵孔,當垂直切割面裂開后,立即把導火索點燃,產生氣體膨脹 ( 響聲很小,悶響 ) ,把整個石塊抬起來,達到分離目的。

圖 5 SCA 與黑火藥聯合采法
這里要注意三點:一是黑火藥爆破孔的分布與數量,二是每孔黑火藥的用量適當,一般裝藥量為 300 ~ 400 克 /m 3 。目的是不傷石質又能抬起石料。黑火藥用量多少,與巖石力學性能、構造、分割體積, SCA 預裂程度有關,要經過試驗確定。這種方法對于小塊料 ( 10m 3 以下 ) 有效,對于大塊料恐怕會傷及石質,中間斷裂?!痢痢链罄硎V曾用此方法,頗有成效,可減少巖石離床的困難。
4 開塹溝的方法 意大利用串珠繩鋸切割巖塊之前,首先從開采面的兩側開出塹溝,目的是把開采石料塊變成四個自由面,利于切割,一般用 025 型鉆孔切割兩用機,這種機器由兩根管狀鋼桿構成,這兩根鋼桿由支架和套管聯在一起,其中一根是固定的,作用是在巖石上固定整套機器,另一根是活動的,可做上下和旋轉運動,起鉆桿作用。開溝用 Ф204 或 1900mm 鉆頭的兩用鉆機,第一步鉆孔,第二步把鉆頭取下來,換上 Ф200或 190mm 滑輪壓入孔內配合普通串珠繩鋸切割,塹溝一般開成 V 型。然后,再用自動降壓切割機切割巖塊。這種方法開出的塹溝齊整,不傷石質,但工序多、效率低。 我國一些礦山多用爆破法開塹溝,雖然速度快,但傷石質,尤其靠近塹溝兩邊的巖塊,受震動大,震傷深度達 2 ~ 3m ,因爆破開溝所造成的石料損失量高達 20 %以上。 在意大利是嚴禁用炸藥開采大理石的,目的是保護巖體。我國大多數礦山無串珠繩鋸機,怎么辦呢 ?
我們提出兩種方法。
4.1 全用無聲破碎劑 (SCA) 開塹溝 先在塹溝兩邊沿設計線鉆防裂孔,孔距一般為 15 ~ 20cm ,孔深為臺階高度,然后以 60 °傾斜角度 從外層起打 1 ~ 2 排斜孔,上抵抗線為 40cm ,下抵抗線為 20cm 左右,這樣利于往外膨脹,易破碎,孔距在 35cm 以內,排距在 30cm 以內,邊距應比排距縮小 1 倍,在邊排距中間加鉆 1 孔,這樣,邊上巖石破碎效果好。 I 、Ⅱ、Ⅲ逐層往里破碎巖石,塹溝中間大部分巖石開挖掉后,最后把 SCA 灌入塹溝兩邊防裂孔中進行光面破碎,使塹溝兩邊平整,溝底用風鎬或人工找平,有利于下一步開采作業,這種方法稍費工,但可保證開采平臺不傷石質,是個行之有效的方法,見圖 6 所示。

圖 6 用 SCA 開塹溝示意圖
4.2 用 SCA 與黑火藥聯合方法開塹溝方法 為加快開塹溝施工進度,此方法可以考慮。與上法基本相同,先在塹溝兩邊打一排防震孔,以消除和減輕爆破時震傷開采平臺的石質,這一步驟很主要。然后在塹溝中部鉆孔,用黑火藥把巖石破碎成一個工作坑,先炸 I 、后炸Ⅱ,最后用 SCA ,修整塹溝成平面,如圖 7 所示。在塹溝凌空面 1 米 以內,用 SCA破碎,在其后排眼裝入黑火藥,進行松動爆破,如此逐層開溝。

圖 7 用 SCA 和黑藥開塹溝示意圖
此方法的優點是開溝快,缺點是易傷石質。因此,必須多打孔,每孔放入黑火藥量要小,孔距 3 0 ~ 40mm ,每孔裝黑火藥量 5 0 ~ 100g ,用黃泥封孔,達松動爆破即可,再用人工或風鎬清渣,切不可用硝銨炸藥。
5 其他
5.1 花崗巖的特點是質堅、易脆、均質、裂紋少、節理有一定規則,對于大塊的露天花崗巖,可沿其節理面鉆孔,放入少量黑火藥,把它斷裂成大塊,變成四面凌空的大塊料,然后用 SCA 分段切割成荒料,這樣可以大大降低成本。用 SCA 分塊切割時,宜用 Ф30 ~ 32mm 鉆頭打眼,孔距控制在 2 0 ~ 30 ㎝ ,孔深為石料高度的 80 %,這樣切割面比較平整。
5.2 玉石 ( 輝長巖類 ) ,一般生成在火成巖的夾層中,厚度不等,一般在 20 ~ 200cm ,玉石是名貴的裝飾石材和雕刻石材,價值很高,如山玉石,名聞中外,它的硬度 f = 7 ~ 8 ,半透明,顏色瑰麗。但開采玉石難度很大,首先用炸藥掘進坑道,找到玉石帶痕跡,再用黑火藥破碎附近巖石,如果玉石帶有三個自由面,可以用 SCA 切割,以保證玉石成塊分離,尤其對薄層玉石帶開采有利。 對于剝離出來大塊玉石 ( 2 ~ 3m 3 ) ,用 SCA 切割最為適宜,為減少玉石受損,宜用 Ф30 ~ 32mm 的孔徑,孔距 20 ~ 25cm ,孔深為切割高度的 90 %,這樣切割面比較平整。
5.3 SCA 一般不宜用于采石場,因為建筑石子價格低,而 SCA 破碎效率低、成本高。但是,對于距離村莊、工廠、交通要道很近的采石場,為避免人命和房屋之損害,可用 SCA 預裂巖石,再用黑火藥松動爆破,使飛石控制在 10m 之內。具體方法是:在巖層的凌空面 1 ~ 2m 內,鉆成 4 0 × 40cm 的梅花眼,灌入 SCA ,巖石出現裂紋后,在巖石的后排眼,放入黑火藥起爆,把巖石破碎。黑火藥的布眼和用藥量,應根據爆破方量和飛石距離確定。這種用 SCA 靜態預裂和黑火藥 ( 或硝銨炸藥 ) 動態爆破的聯合方法,成本會提高,但對要求安全的采石面還是適用的,見圖 8 所示。
 
圖 8 SCA 與黑火藥(炸藥)破碎采石面示意圖 圖 9 用 SCA 修整荒料示意圖
5.4 荒料整形 有些荒料開采出來后,其尺寸和外形不規整,達不到標準的要求,用人工修整工作量大。此時可用 SCA 整形,如圖 9 所示,沿切割線打孔,灌入 SCA ,為使荒料表面平整,要用小孔徑 (Ф 30mm 以下 ) ,孔距 20 ~ 25cm ,孔深 0.9H 。由于切割厚度薄,為節省 SCA 用量,采用 1: 0.38-0.45 大水灰比把 SCA 拌成稀漿灌入孔內,開裂時間雖長,但達到整形效果。
[應用實例 7 ]
靜態破碎劑的作用原理
靜態破碎劑產生膨脹力的作用過程是一個化學反應過程,因此,研究靜態破碎劑首先要從研究其化學反應過程入手。運用熱力學方法對其主要反應進行研究,可以得出反應進行的方向及其反應平衡常數;靜態破碎劑膨脹壓力的產生是由于其反應后體積增大所引起的。研究反應過程的物質轉移及反應前后體積的變化,可以得到靜態破碎劑的膨脹機理及其產生體積膨脹的條件,進一步指導靜態破碎劑膨脹壓力提高的研究。另外,靜態破碎劑的反應過程是一個放熱過程,反應一旦開始,熱量將不斷增加。當熱量的散失小于所產生的熱量時,反應溫度將升高,反應速度不斷加快,將有可能導致沖孔現象的發生。而隨著反應的進行,溫度逐漸下降,但膨脹壓力仍持續增長,而且靜態破碎劑受環境溫度影響非常大,在冬季寒冷季節反應緩慢,有時會失去作用;而在夏季高溫時又易產生沖孔。因此,研究其反應放熱,對提高靜態破碎劑的反應速度及防止沖孔現象的發生具有重要意義。
1 靜態破碎劑的基本化學反應式
目前,靜態破碎劑的主要成分都是氧化鈣。氧化鈣和水反應生成氫氧化鈣,在放出熱量的同時,其體積增大。靜態破碎劑正是利用這種化學反應和氫氧化鈣結晶發育時所產生的膨脹壓力來破壞巖石和混凝土等脆性材料。其基本的化學反應式如下:
CaO 十 H 2 O → Ca(OH) 2 +64.8kJ
從式中可以看出,這是一個放熱反應。
2 反應的物質轉移
氧化鈣和水混合后,立即發生兩類物質的轉移過程: 1) 水分子進入 CaO 粒子內部,并與之發生水化反應; 2) 水化反應產物向原來充水空間轉移。如果前者與后者相適應,即水化速度和水化產物的轉移速度相等時, CaO — 水系統的體積不會發生膨脹,但是,由于 CaO 的結構特性,即內比表面積大,水化速度很快,水化速度大于水化產物的轉移速度,這時,由于 CaO 粒子周圍的反應產物還沒有轉移走,而里面的反應又大量的產生了,這些新的反應物將沖破原來的反應層,使粒子產生機械跳躍,因而發生體積膨脹,產生膨脹壓力,將約束介質破壞。在沒有約束條件下,氧化鈣將散裂成粉末。
3 反應前后體積的變化
靜態破碎劑膨脹壓力的產生是由于其反應后體積增大所引起的。 CaO 和水反應時,生成 Ca(OH) 2 的固相體積在一定的條件下要比 CaO 的固相體積增大 97.92% 。固相體積增大,固相體積空隙體積增量之和超過 CaO 水系統的空間,從而引起 CaO 體積的增大,膨脹壓力增大。生石灰的水化反應在沒有約束的自由膨脹狀態下,其體積將增大 2 倍~ 3 倍。在有約束的條件下,其膨脹體積變小。當約束力非常大時,其體積沒有變化,即不產生膨脹,這就是在實際應用常出現的靜態破碎劑裝入炮孔后失去作用的情況。出現這種情況的原因有:首先從反應物和生成物的摩爾體積變化來討論。靜態破碎劑主要是利用生石灰的水化反應,但從其標準狀況的體積和生成物的摩爾體積進行比較可以看出,并不是在所有的情況下,都會產生體積膨脹。下面具體討論什么情況發生體積膨脹。
下列反應式給出了反應物生成物的摩爾體積和比重等數據。
CaO+H 2 O→Ca(OH) 2 +64.8kj
摩爾體積: 16.764cm 3 , 18.069cm 3 , 33.056cm 3 ;
比重: 3.2g /cm 3 ~ 3.4g /cm 3 , 1.0g / ㎝ 3 , 2.1g /cm 3 ~ 2.3g /cm 3
從上面所列數據來看,生成物的摩爾體積為 33.065cm 3 ,而反應物的摩爾體積為 16.764+18.069= 34.833cm 3 ,反應之后體積應該變小,而不是增大。這好像與實際情況相矛盾。這是由于摩爾體積為分子最緊密堆積時的體積,而在靜態破碎劑中實際應用的是其表觀體積,也就是說在一般情況下,靜態破碎劑中生石灰的水化反應的生成物很難達到分子狀態的最緊密堆積,因為在缺水狀態下,生成的氫氧化鈣比表面積非常大,不是最緊密堆積狀態,因此,就表現出體積膨脹。相反,在大量水存在時,如在水溶液中,氧化鈣與水反應生成氫氧化鈣,其體積變小,而不產生膨脹力。一般缺水情況下 ( 干態,不是在水溶液中 ) ,是用容重來衡量氧化鈣和氫氧化鈣,而不是用比重。生石灰是由碳酸鈣煅燒而成,由于 CO 2 的逸出,產生了許多微孔,氧化鈣保持了碳酸鈣的假象,其容重略大于 1 ,與其 3.2 g / cm 3 ~ 3.4g / cm 3 的比重相差甚遠。氫氧化鈣在干粉狀態下,容重也很小,僅為 1 左右。這樣生石灰的水化反應中 ( 缺水狀態 ) 就表現出體積增大的現象。 當外界約束力非常大時,迫使生成的氫氧化鈣的容重接近其比重,所產生的體積也就越來越小,甚至不產生膨脹。
4 反應放熱 靜態破碎劑的主要反應是放熱反應,其放出熱量的大小隨溫度而變化,如表 1 所示。
表 1 氧化鈣與水反應的放熱效應
|
溫度 /K |
△ H 0 f T /k J · mol -1 |
放熱出的熱
Q kJ/mol |
|
反應物 |
生成物 |
|
CaO |
H 2 O |
Ca ( OH) 2 |
|
298.15 |
-635.090 |
-285.830 |
-986.085 |
65.165 |
|
400 |
-634.723 |
-242.835 |
-985.169 |
107.611 |
|
500 |
-634.390 |
-243.821 |
-983.893 |
105.682 |
|
600 |
-634.107 |
-244.752 |
-982.470 |
103.611 |
|
700 |
-633.915 |
-245.630 |
-981.027 |
101.482 |
當溫度小于 100 ℃ 時 , 溫度升高放出的熱量增加 ; 當溫度超過 100 ℃ 時,氧化鈣與水蒸氣發生反應放出更多的熱量;當溫度進一步升高時,放出的熱量逐漸減小。由此可看出,反應一旦開始,熱量將不斷增加;當熱量的散失小于所產生的熱量時,反應溫度將升高,反應速度不斷加快,將有可能導致沖孔現象的發生。從表 1 中也可以看出,靜態破碎劑受環境溫度的影響非常大,在冬天寒冷季節反應緩慢,有時甚至會失去作用;而在夏季高溫時又易產生沖孔。
5 結語 通過以上運用熱力學方法對靜態破碎劑主要反應的簡單分析,可以得出下面的結論: 1) 如果要增加膨脹壓力,就需要提高氫氧化鈣的容重,同時減少水灰比,使靜態破碎劑處于缺水狀態; 2) 如果要提高反應速度,就需要增加反應物的活性或提高反應溫度; 3) 為防止沖孔現象的發生,就需要添加能強烈吸收水蒸氣又能在以后的反應中將水釋放出來的物質。以上 3 條結論,就是我們設計靜態破碎劑研制方案時遵循的原則。
靜態破碎劑的性能測試
靜態破碎劑的性能測試包括膨脹壓力測試和混凝土巖石開裂試驗兩部分。膨脹壓力是衡量靜態破碎劑性能的一項重要指標。測定其膨脹壓力是靜態破碎劑研制過程中不可缺少的一個環節,也是一個極其重要的手段。而混凝土開裂試驗就是直接把靜態破碎劑用于試驗中。通過觀察開裂時間能綜合評估靜態破碎劑的膨脹壓力及反應速度,與膨脹壓力測試相比,反映靜態破碎劑的優劣更直接。但混凝土開裂試驗不能代替膨脹壓測試,因為它不能定量地給出膨脹壓力的大小。所以說,膨脹壓力測試與混凝土開裂試驗是相輔相成的,它們都是靜態破碎劑性能測試不可缺少的部分。
1 靜態破碎劑壓力測試與分析 膨脹壓力是衡量靜態破碎劑性能的一項重要指標。測定其膨脹壓力是靜態破碎劑研制過程中一個極其重要的手段。靜態破碎劑成分配比及制造條件,很大一部分是由其膨脹壓力來確定的。因此,在靜態破碎劑的研制過程中,我們選用液壓式測壓裝置對所研究的靜態破碎劑的膨脹壓力進行了多次測試。為了了解不同因素對靜態破碎劑的影響,采用不同條件對靜態破碎劑的膨脹壓力進行測試,為了了解所研制開發的靜態破碎劑的耐候性能,即不同環境溫度對膨脹壓力的影響,分別在不同季節進行膨脹壓力測試。
2 膨脹壓力測試 靜態破碎劑的膨脹壓力測試值受到諸多因素的影響。為了認識這些因素對靜態破碎劑膨脹壓力的影響,我們不斷采取不同水灰比、不同孔徑及不同藥量等條件對所開發的靜態破碎劑進行多次測試和研究。為了了解不同產品的性能,我們分別對市售產品 1 、市售產品 2 及自行研制開發的靜態破碎劑進行膨脹壓力測試。為了了解不同裝藥量對靜態破碎劑膨脹壓力的影響,分別對不同的靜態破碎劑進行膨脹壓力測試。
2.1 水灰比對靜態破碎劑膨脹壓力的影響 測試試樣為所開發的靜態破碎劑,裝藥量為 200 g ,水灰比分別為 0.3 、 0.34 和 0.38 ,從圖 1 可以看出,水灰比對靜態破碎劑的膨脹壓力有一定的影響,隨著水灰比的增大,靜態破碎劑的膨脹壓力隨著減小,水灰比越小,靜態破碎劑的膨脹壓力越大。但是,靜態破碎劑的水灰比不能太小,水灰比太小,雖然可以增加靜態破碎劑的膨脹壓力,卻影響靜態破碎劑的施工性能。所以,必須控制好靜態破碎劑的水灰比。所開發的靜態破碎劑的施工水灰比為 0.3 。這時,它的施工性能比較好,膨脹壓力也比較大。

圖 1 水灰比與膨脹壓力關系 圖 2 藥量與膨脹壓力的關系
2.2 裝藥量對靜態破碎劑膨脹壓力的影響 測試樣品試樣 1 、試樣 2 、試樣 3 、試樣 4 及試樣 5 為所開發的靜態破碎劑,藥量分別為 150 g 、 180 g 、200 g 、 230 g 和 260 g ,繪制成膨脹壓力—時間關系曲線如圖 2 所示。 從圖 2 中可以看出,在一定的水灰比和一定的溫度條件下,隨著藥量的增大,靜態破碎劑的膨脹壓力也不斷增大。靜態破碎劑所能達到的膨脹壓力幾乎與其藥量成正比。 從圖中可以看出,膨脹壓力越大,其曲線起伏越大;膨脹壓力越小,其曲線起伏越平緩。
2.3 不同靜態破碎劑的膨脹壓力對比 測試樣品 6 為新研制開發的靜態破碎劑,樣品 7 、 8 為兩種市售的普通靜態破碎劑,藥量都為 200 g ,繪制成膨脹壓力—時間關系曲線如圖 3 所示。 從圖 3 中可以看出,在相同條件下,新研制的靜態破碎劑的膨脹壓力是市售普通靜態破碎劑壓力的 2-3 倍,高達近 40 MPa 。另外,所開發的靜態破碎劑的反應速度也比普通靜態破碎劑快,只需 7 h 就能達到較高膨脹壓力,而普通靜態破碎劑則需要 30 h 以上。

圖 3 不同靜態破碎劑的膨脹壓力對比 圖 4 新型靜態破碎劑的耐候性能
2.4 耐候性能測試 為了了解所研制的新型靜態破碎劑的耐候性能及環境溫度對靜態破碎劑膨脹壓力的影響,分別在春季、夏季和冬季對同種靜態破碎劑進行了膨脹壓力測試,把數據繪成膨脹壓力—時間關系曲線如圖 4 所示,從圖中可以看出,所研制的靜態破碎劑的耐候性較好,其膨脹壓力隨氣溫變化不大,由于測試的樣品采用的是同一批號靜態破碎劑,測試的時間有一定跨度,靜態破碎劑在存放過程中性質發生變化以及測試系統的靈敏度、準確度有可能發生改變,因此,實驗結果不是很具有說服力。根據我們的經驗及一些測試結果發現,靜態破碎劑的存放時間越長,其反應速度越快,膨脹壓力越小。從圖 4 中也有所反映,靜態破碎劑的反應速度及膨脹壓力與其存放的時間有關系,有待于做進一步的研究。如果條件允許,能夠控制室溫的話,靜態破碎劑的耐候性能將更準確,更具有說服力。
3 混凝土開裂實驗 試驗 1: 混凝土試塊 10 0 ㎝× 7 0 ㎝× 60cm ,鉆孔直徑為 30 mm ,孔深為 50 ㎝ ,鉆孔數量為 3 個,然后把靜態破碎劑裝入孔中。 2 h 出現裂縫,具體布置如圖 5 所示。

圖 5 試驗 1 布置方案

圖 6 試驗 2 布置方案
試驗 2: 混凝土試塊 10 0 ㎝× 70 ㎝× 60 ㎝ , 鉆孔直徑為 30 mm ,孔深為 50 cm ,鉆孔數量為 2 個,然后把靜態破碎劑裝入孔中。 32 h 出現裂縫,具體布置如圖 6 所示。 從圖中可以看出,采用相同的孔徑,其所用的開裂時間也不同,孔徑數量多,其膨脹壓力分布均勻,膨脹壓力也增大。當孔徑數量增加一個,其破碎時間相對縮短很多。但是從經濟效益出發,應選取合理的孔數量、孔徑與間距。 從實驗結果可以看出,與普通靜態破碎劑相比,新型靜態破碎劑膨脹壓力大,反應速度快。普通市售靜態破碎劑在花崗巖上采用 5 個孔進行開裂也比較困難,而新型靜態破碎劑采用 3 個孔,開裂時比其采用 5 個孔還短。 從實驗結果還可以看出,在同一試塊上進行的開裂實驗,同孔數時,孔徑大的開裂時間短;在同一規格的混凝土上進行開裂,孔數多的比孔數少的開裂時間短,也就是說孔間距大到一定距離時,混凝土開裂就變得相當困難。有時需要幾天以上的時間才能開裂。這說明靜態破碎劑的膨脹壓是有限的。所以,靜態破碎劑一般用于混凝土的破碎。 在所有實驗中均未出現沖孔現象,操作方便,也沒有出現失去作用而不能開裂的情況。并且所有的靜態破碎劑在儲存一段時間后,其反應速度變快,這比普通靜態破碎劑的性能要好。
4 結 論 膨脹壓力是各種靜態破碎劑最主要的性能指標,而膨脹壓力測試是靜態破碎劑研制過程中一個不可缺少的環節和重要手段。液壓式平衡靜態破碎劑是我們研制出的靜態破碎劑。它具有操作簡單,環境溫度可控,數據復現性好,節約鋼材等優點。測量結果非常令人滿意。通過分析測得的膨脹壓力數據,得出以下結論:
1) 靜態破碎劑的水灰比越小,其膨脹壓力也就越大。 2) 靜態破碎劑的裝藥量大,其膨脹壓力也就越大。這就說明了為什么采用大孔徑藥孔更容易破碎混凝土。 3) 靜態破碎劑破碎的溫度越高,其膨脹壓力也就越大。反應速度也就越快。 4) 新型靜態破碎劑的耐候性好,四季都可以用。 5) 新型靜態破碎劑所能達到的最大膨脹壓力為市場同類產品的兩倍左右,這大大提高了新型靜態破碎劑的破碎能力,擴大了其應用范圍。 6) 混凝土的開裂實驗表明,新型靜態破碎劑的膨脹壓力大,而且它的反應速度也非常快。 |