提要:針對實際工程,采用有限元法對鋼筋混凝土轉角樓梯的受力性能進行了分析,并與簡化的計算方法進行了對比。分析結果表明,通過合理選擇的有限元分析模型,較好地反應了轉角樓梯的受力情況。根據有限元分析的結果選定簡化的實用計算模型,通過計算,實用計算模型得到的結果與有限元結果相近,從而解決了以往轉角樓梯這個空間超靜定結構不能手算的課題。為了驗證結論的正確性,在工程設計時,用實用計算模型得到的內力進行承載力計算,并將承載力計算的結果應用于實際工程。事實證明,本文建議的實用計算方法可靠,能夠用到工程實踐中,從而為以后鋼筋混凝土轉角樓梯的工程計算提供了理論計算依據。
關鍵詞:鋼筋混凝土轉角樓梯,內力分析,計算方法
1 前 言
對鋼筋混凝土轉角樓梯,為避免其計算上的困難,傳統的設計方法是在轉角處通過設置鋼柱或鋼筋混凝土柱,這樣的設計雖然從力學上講傳力比較明確,但不夠美觀,而且不夠經濟。雖然螺旋樓梯考慮了空間力學性能,不論從經濟上還是從美觀上都能得到良好的效果,但當場地受到限制時,螺旋樓梯同樣不能滿足業主的要求。本文分別采用比較符合實際模型的有限元法和簡化模型的實用計算方法,對鋼筋混凝土轉角樓梯進行了受力分析,并將其結果應用于工程實際,從而克服了轉角樓梯受力復雜難以手算的難題。
2 有限元法(FEM)
2.1 工程實例描述
某框支剪力墻結構,地下兩層,1~5 層為商場, 6~30 層為住宅,總高度為100. 10m(閣樓除外) ,5 層高位轉換,轉換層高度為2. 22m。為了給住戶提供一個美好的生活空間,根據業主的要求,需要設6 層到5 層屋面花園的樓梯,根據場地情況,只能采用轉角樓梯,如圖1 所示。

2.2 有限元分析模型(圖2)
計算假定:
(1) 根據以往對鋼筋混凝土樓梯的承載力計算,踏步板荷載均勻分布在整個梯段內。
(2) 根據轉角樓梯的構造特性(A 支座的支座負筋錨入梁內,承擔著負彎矩;A 支座和B 支座的下部筋錨入梁內,僅起構造作用) ,梯段按一端固定一端簡支考慮。
根據業主及設計規范要求,取梯段寬度為1200mm ,厚度由計算確定。為施工方便,混凝土強度等級與轉換層相同,即C45 ,泊松比取0. 2 ,僅進行靜力計算。采用ANSYS 軟件進行有限元分析,單元類型為SHELL93 。
荷載工況:為得到比較滿意的撓度變形及為簡化的實用計算方法提供可靠的理論依據,采用改變梯板厚度的方法實現加載,梯板厚度h 由80~180mm 變化,步長為10mm。參照螺旋樓梯的設計,考慮極限情況,梯板厚度由200~250mm 變化,步長為50mm。

荷載計算[1 ] :活載標準值取2. 0kN/ m2 ,分項系數取1. 4 ;恒載標準值(包括踏步板自重、裝飾層等) 共計2. 747kN/ m2 ,分項系數取1. 2 ;荷載組合值為6. 096kN/ m2 。梯板荷載考慮分項系數1.2 后按自重考慮,重力密度為30kN/ m3 。
2.3 有限元法計算結果[2 ]
根據A NS YS 的計算結果,變形和內力列于表1 。

2.4 有限元結果分析
從表1 可以看出,當梯板厚度逐漸增大時,撓度的最大值逐漸減小; Y 方向的支座反力和繞Z軸的支座彎矩也隨著變大; X 方向支座反力的絕對值在0. 81E - 5~0. 17E - 3 范圍內變化,其值近似為0 , Z 方向的支座反力在0. 1E - 3~0. 154E - 3 范圍內變化,其值也近似為0 ;繞Y 軸的彎矩為0 ;繞X 軸的彎矩(即扭矩) 隨板厚的增大而增大,但其值很小。
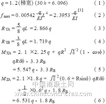
3 實用計算方法(PCM) [ 3 ,4 ]
3.1 計算模型
根據對有限元結果的分析,該結構的A 支座可看作Y 方向的線位移、繞X 軸和繞Z 軸的角位移為零,但其反力不為零,其它方向的位移和反力均等于零;B 支座在Y 方向的線位移為零,但其反力不為零。其他方向的位移和反力均等于零。通過該結構的靜力分析和幾何構造分析,該結構是空間的一次超靜定結構,因此,只要得到一個未知量,其他未知量也就迎刃而解了。因此,為便于比較和手算,可取均布荷載作用下一端固定一端簡支的單跨梁(圖3) 來計算跨間的最大撓度和支座B 的反力,然后按圖4 來計算其他內力。


3.2 計算公式及結果
有限元分析中,將梯板自重按體力狡算,因此,在實用計算中應將其按均布的恒載考慮。內力及變形的公式推導如下:

式中,L 為轉角樓梯的中線長度。
由式(1) ~式(6) ,可知不同梯板厚度的內力和變形(見表2) 。

4 結果分析[ 5 ,6 ]
為了便于比較,將兩種方法得到的撓度、支座反力、彎矩和扭矩列于表3。通過比較可知,就實用計算方法而言,最大撓度偏小,根據統計結果,可以對其乘以一個增大系數1. 35 ;固定端的支反力偏小,簡支端的支反力偏大,但誤差不大;扭矩和彎矩均偏大,但偏值不多。為了能說明實用計算方法是否可行,取厚度為120 mm 的梯板進行承載力分析。由上表看出,梯板為彎剪扭構件,彎矩比有限元法略大,因此僅考慮剪扭情況。為安全起見,設環境類別為二類b ,即保護層厚度為20 mm。由

可知,不必通過計算配筋,僅按構造配筋即可。為進一步說明問題,仍取梯板厚度為120mm ,但其內力按200mm 的梯板考慮,即相當于活載約3. 7kN/ m2 (規范最大值為3. 5kN/ m2) 。由
可知,同樣不必通過計算配筋,僅按構造配筋即可。

5 結 論
通過以上分析,可以得到如下幾點結論:
(1) 實用計算方法得到的結果與有限元解基本相近,因此可以應用于工程實際中。本結論已在工程中得到驗證。
(2) 實用計算方法得到的撓度應乘以1. 35的放大系數。
(3) 按照一端固定一端簡支的平面梁求簡支端的支座反力,其余內力按照實際的空間桿系結構模型(其中,一端僅考慮一個支座反力,且該支座反力等于平面梁簡支端的支座反力) 進行計算。
(4) 按照實際計算得到的彎矩進行正截面承載力計算;一般情況下可忽略剪力和扭矩,對其按構造配筋。
參考文獻
[1 ] 建筑結構荷載設計規范( GB50009 - 2001) . 北京:中國建筑工業出版社, 2001
[ 2 ] 劉 濤,楊鳳鵬主編. 精通ANSYS. 北京:清華大學出版社, 2002
[3 ] 《建筑結構靜力計算手冊》編寫組. 建筑結構靜力計算手冊. 北京:中國建筑工業出版社. 1988
[4 ] 龍馭球, 包世華等. 結構力學教程. 北京:高等教育出版社,2002
[5 ] 程文襄, 康谷貽, 顏德 . 混凝土結構. 北京:中國建筑工業出版社,2002
[6 ] 混凝土結構設計規范( GB50010 - 2002) . 北京:中國建筑工業出版社, 2002
















