摘要:采用預應力加固法,不僅施工方便、經濟,而且加固效果好尤其是當預應力加固筋的布置與外彎矩圖形相似,此法既可大幅度提高原梁的受彎承載力,又可顯著提高原梁的受剪承載力,本文主要介紹了預應力加固鋼筋混凝土方法的設計過程與計算方法,以及簡要施工過程,通過工程實踐證明了其可行性。
關鍵詞:預應力加固;下撐式拉桿;承載力
1 前言
預應力加固法是采用外加預應力鋼拉桿或型鋼撐桿對結構構件或整體進行加固的方法,特點是通過預應力手段強迫后加部分一拉桿或撐桿受力,改變原結構內力分布并降低原結構應力水平,致使一般加固結構中所特有的應力應變滯后現象得以完全消除,因此,后加部分與原結構能較好地共同工作,結構的總體承載能力可顯著提高。預應力加固法具有加固、卸荷、改變結構內力的三重效果,適用于大跨結構加固,以及采用一般方法無法加固或加固效果很不理想的較高應力應變狀態下的大型結構加固。
采用預應力加固的鋼筋混凝土梁,在加固前已經受荷且大部分已出現裂縫。預應力拉桿橫向收緊法加固后,使原梁的裂縫減少甚至閉合,并使原梁產生反拱抵消部分原梁的荷載撓度,從而改善了鋼筋混凝土結構的受力性能,提高了原梁的承載力。但是梁加固后,一般比原梁有一個荷載增量,使加固梁變形,或者本來就是因不滿足正常使用狀態而進行加固的,因此同普通混凝土結構一樣,加固梁除了進行承載力計算之外,還須進行撓度和裂縫寬度的驗算。
2 體外預應力筋設計
2.1 加固原理簡述
我們知道,采用預應力加固法,不僅施工方便、經濟,而且加固效果好尤其是當預應力加固筋的布置與外彎矩圖形相似,采用折線形預應力筋時,既可大幅度提高原梁的受彎承載力,又可顯著提高原梁的受剪承載力。同時,能減小裂縫寬度和撓度。這是因為預應力的作用可等效于對原梁施加了反向荷載,所以使原梁的使用性能大為改善。在最終承載階段,則由于預應力的施加,一方面使原梁截面內的鋼筋面積A。增加,另一方面因A。一般地加于梁底,又加大了梁破壞時截面的有效高度ho,從而,大大提高了原梁的受彎承載力。另外,采用折線預應力筋加固,對原梁的抗剪能力提高作用也是十分顯著的。
2.2 預應力加固力筋截面積的估算
首先確定原梁加固后抗彎承載力增量
式中:Mo——原梁仍可以承擔的彎矩;
M——加固梁上承受的總彎矩;于是
式中:fpy——預應力筋抗拉強度設計值;
hop——預應力筋合力至梁頂面距離;
rp——內力臂系數,取0.85;
α——預應力筋屈服應力系數,有粘結加固梁取α=1,無粘結加固梁取α=0.9。
2.3 力筋控制應力計算
2.3.1 按照承載力要求拉桿承擔的拉力的計算
鋼筋混凝土構件采用預應力下撐式拉桿加固后,由原來的受彎構件變為偏壓構件。由平衡條件可以得到下撐式拉桿軸向拉力作用于被加固構件各截面中產生的附加內力
在錨固點和下撐點之間的區間
其中α為拉桿的傾角,C’為錨固點到截面形心之間的距離,為下撐點到截面形心之間的距離。忽略下撐點和拉桿的摩擦作用,則N=N’于是加固后截面的內力為
其中分別為拉桿引起的附加內力,為原構件在外荷載作用下的內力。
故通過加固后梁的承載力要求,得到拉桿的軸向力N。
2.3.2 下撐式拉桿作用效應增量的計算
方法一、下撐式拉桿加固后的梁為一次超靜定結構,可以采用力法計算:
M1為△N=1時,被加固粱截面的彎矩,N1i為△N=1時,被加固梁各段的截面的壓力,Li為被加固梁各段的長度,Lp為被拉桿的長度,Mp為新增荷載作用下被加固梁截面的彎矩。
方法二、能量變分法計算力筋應力增量:
體外預應力加固鋼筋混凝土簡直梁時,除在錨固區和轉向區內,預應力筋與梁均無接觸,因此在受到外荷載作用時,體外力筋的應變與鋼筋混凝土簡直梁的應變在相同表面上不協調,體外力筋應力增量計算將不同于體內束,國內外學者作了大量的試驗研究和分析,總結出了多種計算方法。其中,能量變分法計算體外力筋應力增量的公式最為實用,表達式如下:
K1——荷載系數,按下式計算:K1=△r/2I2h+16/3M;
K2——體外力筋布筋系數,按下式計算:
Ih——被加固梁的截面慣性矩;
Ey;Eh——分別為體外力筋和被加固梁的彈性模量;
α——體外力筋水平段長度與梁全長的比值;
△r——除自重外恒載和設計活載的有效集度;
es;em——分別為梁端錨固點和體外力筋水平段中心至截面形心的距離。
得到
2.3.3 力筋預應力損失計算
(1)錨固損失
(2)彎折點摩擦損失σ12=σcon(1-e-μθ);
(3)力筋應力松弛損失σ13的計算:由《砼結構設計規范》(GBJl0-89)取σ13=0.085σcon;
2.3.4 力筋控制應力
確定水平拉桿施加的預應力值σcon,應滿足
σι為預應力損失,上步中已經得到。
3 加固后截面強度驗算
3.1 支座截面正截面承載力驗算
支座截面正截面承載力通過與確定拉桿承擔拉力的公式一樣計算,以驗證力筋加固是否合理。
3.2 斜截面抗剪強度計算
驗算公式為:
3.3 撓度驗算
用體外束加固的鋼筋混凝土梁,其撓度f與M彎矩的變化規律與部分預應力混凝土梁相似。在正常使用階段,加固后梁體的撓度主要有兩部分組成:一部分是恒載與活載產生的撓度:另一部分是有效預應力與體外束拉力增量產生的。前者計算同普通鋼筋混凝土梁,后者的計算方法可參考預應力混凝土梁在預加力作用下的上拱度的計算方法或根據力法原理求出。梁體的撓度計算均可按彈性理論計算,其關鍵問題是剛度的取值,梁體截面開裂前可取0.85注:本文中所涉及到的圖表、注解、公式等內容請以PDF格式閱讀原文,梁體截面開裂后可取0.85EcI01。在不計沖擊力的活載作用下,產生跨中撓度不應超過跨度的1/600。
3.4 加固體系的裂縫驗算
用體外束加固的混凝土梁,由于體外束布置在梁體之外,與混凝土無粘結作用,因此,其抗裂性更接近與普通鋼筋混凝土梁,可采用公路橋規中關于普通鋼筋混凝土梁的裂縫寬度計算公式:
式中各參數均按規范取用,其允許裂縫寬度建議按公路橋規中普通鋼筋混凝土梁的允許裂縫寬度采用。
4 施工過程注意問題簡介
體外預應力加固鋼筋混凝土梁對,預應力的施加方法有:機張法、電熱法、橫向收緊法及豎向收緊法等,各種施工方法具體步驟見相關專業書籍介紹,下面僅就施工中注意的問題作介紹。
電熱法、橫向張拉、豎向張拉及楔頂法等預應力施加方法,其變形控制量△,應以拉桿或撐桿真正開始受力時的值作為張拉的起始點(零點)。多點橫向張拉及豎向張拉,各點張拉螺栓應同步進行擰緊。拉桿、撐桿張拉控制應力值σcon,不宜超過規定數值(碳素鋼絲、刻痕鋼絲、鋼鉸線:
熱處理鋼筋、冷拔低炭鋼絲:0.4fptk≤σcon≤0.70fptk,冷拉鋼筋:0.5fptk≤σcon≤0.90fptk,對于預應力撐桿,σcon取值還必須受施工階段的穩定要求控制,否則應采用多道專用卡具等輔助防失穩措施。預應力撐桿加固柱,撐桿與構件之間宜采用環氧樹脂灌漿濕式連接,此時,綴板(連接箍板)應緊貼構件結合表面與角鋼平焊連接。為避免撐桿因焊接受熱而產生過大的預應力損失,施焊應采取上下綴板輪流進行。預應力拉桿、撐桿、綴板及各種錨固連接件,均應采用有效的防腐、防火保護措施。
5 小結
體外預應力技術十分適合于對各類加筋混凝土梁進行加固,可以提高結構的極限承載能力、降低鋼筋疲勞應力幅值及控制裂縫,能較好地滿足使用載荷的要求,增加結構的使用年限和耐久性;并且加固效果明顯、所需機具設備量少且輕便、施工質量易于控制,因而具有明顯的經濟及社會效益和較為廣闊的發展前景。
關鍵詞:預應力加固;下撐式拉桿;承載力
1 前言
預應力加固法是采用外加預應力鋼拉桿或型鋼撐桿對結構構件或整體進行加固的方法,特點是通過預應力手段強迫后加部分一拉桿或撐桿受力,改變原結構內力分布并降低原結構應力水平,致使一般加固結構中所特有的應力應變滯后現象得以完全消除,因此,后加部分與原結構能較好地共同工作,結構的總體承載能力可顯著提高。預應力加固法具有加固、卸荷、改變結構內力的三重效果,適用于大跨結構加固,以及采用一般方法無法加固或加固效果很不理想的較高應力應變狀態下的大型結構加固。
采用預應力加固的鋼筋混凝土梁,在加固前已經受荷且大部分已出現裂縫。預應力拉桿橫向收緊法加固后,使原梁的裂縫減少甚至閉合,并使原梁產生反拱抵消部分原梁的荷載撓度,從而改善了鋼筋混凝土結構的受力性能,提高了原梁的承載力。但是梁加固后,一般比原梁有一個荷載增量,使加固梁變形,或者本來就是因不滿足正常使用狀態而進行加固的,因此同普通混凝土結構一樣,加固梁除了進行承載力計算之外,還須進行撓度和裂縫寬度的驗算。
2 體外預應力筋設計
2.1 加固原理簡述
我們知道,采用預應力加固法,不僅施工方便、經濟,而且加固效果好尤其是當預應力加固筋的布置與外彎矩圖形相似,采用折線形預應力筋時,既可大幅度提高原梁的受彎承載力,又可顯著提高原梁的受剪承載力。同時,能減小裂縫寬度和撓度。這是因為預應力的作用可等效于對原梁施加了反向荷載,所以使原梁的使用性能大為改善。在最終承載階段,則由于預應力的施加,一方面使原梁截面內的鋼筋面積A。增加,另一方面因A。一般地加于梁底,又加大了梁破壞時截面的有效高度ho,從而,大大提高了原梁的受彎承載力。另外,采用折線預應力筋加固,對原梁的抗剪能力提高作用也是十分顯著的。
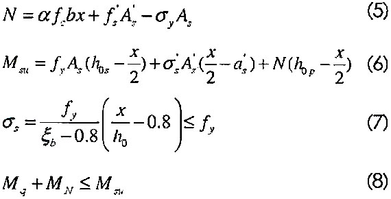
2.2 預應力加固力筋截面積的估算
首先確定原梁加固后抗彎承載力增量
式中:Mo——原梁仍可以承擔的彎矩;
M——加固梁上承受的總彎矩;于是
式中:fpy——預應力筋抗拉強度設計值;
hop——預應力筋合力至梁頂面距離;
rp——內力臂系數,取0.85;
α——預應力筋屈服應力系數,有粘結加固梁取α=1,無粘結加固梁取α=0.9。
2.3 力筋控制應力計算
2.3.1 按照承載力要求拉桿承擔的拉力的計算
鋼筋混凝土構件采用預應力下撐式拉桿加固后,由原來的受彎構件變為偏壓構件。由平衡條件可以得到下撐式拉桿軸向拉力作用于被加固構件各截面中產生的附加內力
在錨固點和下撐點之間的區間
其中α為拉桿的傾角,C’為錨固點到截面形心之間的距離,為下撐點到截面形心之間的距離。忽略下撐點和拉桿的摩擦作用,則N=N’于是加固后截面的內力為
其中分別為拉桿引起的附加內力,為原構件在外荷載作用下的內力。
故通過加固后梁的承載力要求,得到拉桿的軸向力N。
2.3.2 下撐式拉桿作用效應增量的計算
方法一、下撐式拉桿加固后的梁為一次超靜定結構,可以采用力法計算:
M1為△N=1時,被加固粱截面的彎矩,N1i為△N=1時,被加固梁各段的截面的壓力,Li為被加固梁各段的長度,Lp為被拉桿的長度,Mp為新增荷載作用下被加固梁截面的彎矩。
方法二、能量變分法計算力筋應力增量:
體外預應力加固鋼筋混凝土簡直梁時,除在錨固區和轉向區內,預應力筋與梁均無接觸,因此在受到外荷載作用時,體外力筋的應變與鋼筋混凝土簡直梁的應變在相同表面上不協調,體外力筋應力增量計算將不同于體內束,國內外學者作了大量的試驗研究和分析,總結出了多種計算方法。其中,能量變分法計算體外力筋應力增量的公式最為實用,表達式如下:
K1——荷載系數,按下式計算:K1=△r/2I2h+16/3M;
K2——體外力筋布筋系數,按下式計算:
Ih——被加固梁的截面慣性矩;
Ey;Eh——分別為體外力筋和被加固梁的彈性模量;
α——體外力筋水平段長度與梁全長的比值;
△r——除自重外恒載和設計活載的有效集度;
es;em——分別為梁端錨固點和體外力筋水平段中心至截面形心的距離。
得到
2.3.3 力筋預應力損失計算
(1)錨固損失
(2)彎折點摩擦損失σ12=σcon(1-e-μθ);
(3)力筋應力松弛損失σ13的計算:由《砼結構設計規范》(GBJl0-89)取σ13=0.085σcon;
2.3.4 力筋控制應力
確定水平拉桿施加的預應力值σcon,應滿足
σι為預應力損失,上步中已經得到。
3 加固后截面強度驗算
3.1 支座截面正截面承載力驗算
支座截面正截面承載力通過與確定拉桿承擔拉力的公式一樣計算,以驗證力筋加固是否合理。
3.2 斜截面抗剪強度計算
驗算公式為:
3.3 撓度驗算
用體外束加固的鋼筋混凝土梁,其撓度f與M彎矩的變化規律與部分預應力混凝土梁相似。在正常使用階段,加固后梁體的撓度主要有兩部分組成:一部分是恒載與活載產生的撓度:另一部分是有效預應力與體外束拉力增量產生的。前者計算同普通鋼筋混凝土梁,后者的計算方法可參考預應力混凝土梁在預加力作用下的上拱度的計算方法或根據力法原理求出。梁體的撓度計算均可按彈性理論計算,其關鍵問題是剛度的取值,梁體截面開裂前可取0.85注:本文中所涉及到的圖表、注解、公式等內容請以PDF格式閱讀原文,梁體截面開裂后可取0.85EcI01。在不計沖擊力的活載作用下,產生跨中撓度不應超過跨度的1/600。
3.4 加固體系的裂縫驗算
用體外束加固的混凝土梁,由于體外束布置在梁體之外,與混凝土無粘結作用,因此,其抗裂性更接近與普通鋼筋混凝土梁,可采用公路橋規中關于普通鋼筋混凝土梁的裂縫寬度計算公式:
式中各參數均按規范取用,其允許裂縫寬度建議按公路橋規中普通鋼筋混凝土梁的允許裂縫寬度采用。
4 施工過程注意問題簡介
體外預應力加固鋼筋混凝土梁對,預應力的施加方法有:機張法、電熱法、橫向收緊法及豎向收緊法等,各種施工方法具體步驟見相關專業書籍介紹,下面僅就施工中注意的問題作介紹。
電熱法、橫向張拉、豎向張拉及楔頂法等預應力施加方法,其變形控制量△,應以拉桿或撐桿真正開始受力時的值作為張拉的起始點(零點)。多點橫向張拉及豎向張拉,各點張拉螺栓應同步進行擰緊。拉桿、撐桿張拉控制應力值σcon,不宜超過規定數值(碳素鋼絲、刻痕鋼絲、鋼鉸線:
熱處理鋼筋、冷拔低炭鋼絲:0.4fptk≤σcon≤0.70fptk,冷拉鋼筋:0.5fptk≤σcon≤0.90fptk,對于預應力撐桿,σcon取值還必須受施工階段的穩定要求控制,否則應采用多道專用卡具等輔助防失穩措施。預應力撐桿加固柱,撐桿與構件之間宜采用環氧樹脂灌漿濕式連接,此時,綴板(連接箍板)應緊貼構件結合表面與角鋼平焊連接。為避免撐桿因焊接受熱而產生過大的預應力損失,施焊應采取上下綴板輪流進行。預應力拉桿、撐桿、綴板及各種錨固連接件,均應采用有效的防腐、防火保護措施。
5 小結
體外預應力技術十分適合于對各類加筋混凝土梁進行加固,可以提高結構的極限承載能力、降低鋼筋疲勞應力幅值及控制裂縫,能較好地滿足使用載荷的要求,增加結構的使用年限和耐久性;并且加固效果明顯、所需機具設備量少且輕便、施工質量易于控制,因而具有明顯的經濟及社會效益和較為廣闊的發展前景。
















