摘要:本文通過一鋼筋混凝土框筒結構實例,用振型分解法按等效單自由度體系求解其滯回輸入能;用pushover 法分析了滯回耗能在層間的分布規律;根據樓層滯回耗能與彈塑性層間位移的關系求出了各層的彈塑性位移,并通過層間耗能分布及彈塑性層間位移的比較,體現了翼緣框架對整個結構的貢獻。以上過程通過與非線性動力時程分析的對比,證明了方法的可行性。
關鍵詞:鋼筋混凝土框筒結構;pushover 分析;層間能量分布;彈塑性層間位移
1 前言
自20 世紀50 年代Housner 提出能量法的概念以后,越來越多的研究者開始從地震能量輸入與結構能量耗散間的相互關系來分析研究結構的地震反應及其損傷水平。正確揭示地震反應中結構的能量吸收與耗散之間的本質關系,合理地利用其內在聯系來控制結構的地震反應及破損,對有效地實現抗震性能設計控制具有很好的應用前景。
多年來,各國研究者在結構的總輸入能、滯回耗能的計算及其相應影響因素等方面作了大量的研究[1]~[5],但對以下幾個問題則研究較少:滯回耗能在結構內部的分布規律;彈塑性層間位移作為衡量結構在罕遇地震作用下破壞程度的重要指標,它與層間耗能的關系如何算等。本文采用pushover法分析了滯回耗能在層間的分布規律;根據層間滯回耗能與彈塑性層間位移的關系[6]求出了各層的彈塑性位移。以上結果均與非線性動力時程分析結果進行了對比,證明了方法的可行性。
2 結構輸入能計算的振型分解法
框筒結構的平面圖及剖面圖分別見圖1 和圖2。層高3m 共12 層,柱距均為3m,角柱截面為700×700mm,其它柱截面為400×600mm,框筒梁截面均為300×800mm,樓板為密肋樓蓋?;炷恋燃墳镃30,鋼筋選用HPB235 及HRB400 熱軋鋼筋。采用廣廈建筑結構CAD9.0 按7 度設防計算其配筋。


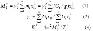
2.1 等效單自由度體系各相關參數的求解
利用等效單自由度體系計算多自由度體系的各能量項時,大都采用一階等效來求解。本文通過求解該框筒結構各階等效單自由度體系的滯回耗能(當后一階能量項的貢獻可以忽略時,則不再求解),認為把二階等效的結果考慮進去以后,即能給出滿意的結果。
以一階等效為例,各參數求解如下:

式中:M*1為第1 階振型的等效質量;K*1為第1 階振型的等效剛度; γ1 為第1 階振型的參與系數;Xil為第1 階振型i 質點的水平相對位移;Gi為集中于質點i 的重力荷載代表值;mi為第i 層的質量;T1為第1 階振型的自振周期。其它各階參數可相應求解。
2.2 等效單自由度體系滯回輸入能的求解
將多自由度體系等效為單自由度體系以后,即可根據其能量方程求解出相應的滯回耗能。本文通過輸入以下三條地震波:1940 年南北向EL Centro 波,1952 年69°Taft 波和1994 年90°Northridge 地震波,將各地震波前二階組合結果的均值作為該框筒結構的等效滯回輸入能并與相應的非線性動力時程分析做了對比,從表1 中看出,由于沒考慮結構的空間作用效應,時程分析求得的滯回耗能比采用等效單自由度體系的要小。

3 結構層間耗能計算
滯回耗能在結構內部的分布首先是研究其在層間的分布規律。本文采用Pushover方法,給出了一種計算結構滯回耗能沿層間分布的簡化計算方法,并與非線性動力時程的計算結果進行了比較。
按照文獻[7]的等代角柱法將框筒結構轉化為等效的平面框架,采用非線性靜動力分析程序IDARC2D5.5 作push-over分析,通過單向單調加大側向荷載,使結構由彈性狀態逐步達到某個預先定義的極限狀態為止。本文中定義結構的極限狀態為:某構件先于結構達到破壞,或結構彈塑性層間位移超限,或結構成為機構。當達到以上任一極限狀態時,則push-over分析結束,認為此時結構已經破壞,取其上一步加載所求得的結構耗能作為結構的極限耗能。結構耗能按以下公式計算:
結構開裂以后,任一構件(梁、柱)在單位步長的耗能為:

則結構達到預先定義的極限狀態時的總耗能為:

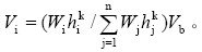
對結構作push-over 分析時,研究者們已提出了多種不同的水平加載模式,其中冪級數水平加載模式[8]可以較好地反映結構在地震作用下高振型的影響。其數學表達式為:
其中,Vi為第i層的層剪力; Wi, Wj分別為結構第i,j層的樓層重力荷載代表值;hi,hj 分別為結構第i,j層樓面距地面的高度;Vb為結構的基底剪力;n為結構總層數;指數K規定如下:當T ≤ 0.5s時,k = 1.0 ;當0.5s < T < 2.5s時,k = 1.0 + (T − 0.5) / 2.0;k = 2.0 T ≥ 2.5s;其中,T為結構基本周期。

圖5 給出了該框筒結構利用push-over法求得的各層滯回耗能與總滯回耗能的比例關系,并與非線性動力時程的結果作了比較。從圖5 中可以看出,采用push-over法對結構的總滯回耗能在層間進行分配與非線性動力時程分析結果較為接近,可視為非線性動力時程分析的中間值,因而認為該 法是可行的。
框筒結構中,翼緣框架對整個結構的貢獻通過等代角柱而實現。本文還按框筒原角柱截面求解了其各層梁柱滯回耗能與總滯回耗能的比例關系。如圖6 所示,帶*號的即為按原角柱截面的計算結果,反之則為按等代角柱的結果。從圖中可以看出,在該框筒結構中,梁為主要耗能構件;當不考慮翼緣框架作用時柱的耗能變化不大,但會使4層以下梁的相對耗能有較大增加。

4 結構彈塑性層間位移計算
彈塑性層間位移是衡量結構在罕遇地震作用下破壞程度的重要指標,文獻[6]中給出了結構樓層彈塑性變形耗能與彈塑性層間位移的關系如下所示:

式中:EH 為樓層彈塑性變形耗能;K為樓層側向剛度;dy 為層間屈服位移; β為滯回耗能系數。對鋼筋混凝土結構,取β=0.33;Vy為按構件實際配筋和材料強度標準值計算的樓層受剪承載力;dp為彈塑性層間位移。
利用結構的層間滯回耗能結合公式(6)即可求出結構的彈塑性層間位移。
圖7 給出了該框筒結構采用本文的能量法求得的彈塑性層間位移,并與現行建筑抗震設計規范[8]中的非線性動力時程法和彈塑性位移增大系數法(以下稱規范公式)的結果進行了對比。從圖中可以看出,除了7 層以上結果相差較大外,在結構相對薄弱也即滯回耗能相對集中的1 至6 層,采用能量法所得結果與抗震規范中的兩種方法很接近,與兩者的平均值最大相差8.7%。
圖8 給出了該框筒結構不考慮翼緣框架作用時的彈塑性層間位移。從圖中容易看出,不考慮翼緣框架作用時,框筒結構的彈塑性層間位移比考慮翼緣框架作用的結果要大,最大處相差為9.1%。

5 結論
?。?)對于鋼筋混凝土框筒結構,可以采用Pushover 法來求解結構滯回耗能在層間的分布。與非線性動力時程需要選取地震波相比,采用Pushover 法可以減少分析時間,同時獲得較為穩定的分析結果。
(2)通過等效單自由度法求得的結構滯回耗能及其在層間的分布規律,可以求得結構各層的滯回耗能。結合公式(6)即可求解結構在罕遇水平地震作用下的彈塑性層間位移。
?。?)對于鋼筋混凝土框筒結構,通過等代角柱考慮翼緣框架的作用可以減少其薄弱層的能量集中,從而使彈塑性層間位移相應減少。
參考文獻
[1] Peter Fajfar. Capacity spectrum method based on inelastic demand spectra
. Earthquake Engineering and Structural Dynamics.1999,28:979 -993
[2] Uang C,Bertero V V. Evaluation of seismic energy in structure.
Earthquake Engineering and Structural Dynamics.1990,19: 177-190
[3] Gaetano Manfredi. Evaluation of seismic energy demand. Earthquake
Engineering and Structural Dynamics.2001, 30:485-499
[4] Peter Fajfar,Tomaz Vidic. Consistent inelastic design spectra.:hysteretic and
input energy. Earthquake Engineering and Structural Dynamics.1994,23:523-537
[5] Andre Filiatrault,Pierre Leger,Rene Tinawi. On the Computation of seismic
energy in inelastic structures.Engineering Structures.1994,16(6) : 425-436
[6] Lieping Ye and Shunsuke Otani. Maximum seismic displacement of
inelastic systems based on energy concept[J]. Earthquake Engineering and Structural Dynamics.1999,28:1483-1499.
[7] 崔鴻超.框筒 (筒中筒 )結構空間工作分析及簡化計算.建筑結構學報,1982 ,3(2):32- 41.
[8] Federal Emergency Management Agency.Guidelines and Commentary
for the Seismic Rehabilitation of Buildings. FEMA 273 &274,1998
[9] 中華人民共和國國家標準.建筑抗震設計規范GB 50011-2001[M].北京:中國建筑工業出版社,2001.
















