摘要:討論了大型通用有限元軟件ADINA在鋼筋混凝土結構非線性有限元分析中的應用,詳細介紹了ADINA 中的混凝土本構模型及破壞準則,確定了參數的選取方法。對一個四樁鋼筋混凝土厚承臺進行非線性有限元分析,將文中計算結果與文獻[1]中試驗結果對比發現,本文計算出的承臺的底部中心荷載-撓度曲線、裂縫的分布方式、縱筋的荷載-軸力曲線與試驗結果基本一致,表明用ADINA 進行鋼筋混凝土非線性有限元分析能滿足工程需要。
關鍵詞:本構模型,非線性有限元,鋼筋混凝土,厚承臺
1. 前言
鋼筋混凝土結構是目前公路橋涵建筑中最主要的結構型式。由于鋼筋混凝土是由混凝土和鋼筋兩種性質截然不同的材料組合而成,它的性能就明顯地依賴于這兩種材料的性能,特別是在非線形階段,混凝土和鋼筋本身的各種非線性特征都不同程度地反映在這種組合材料中。自從美國學者G.Ngo 和A.C.Scodelis[2]于1967 年首先將有限元法用于鋼筋混凝土結構計算以來,混凝土的本構關系、鋼筋與混凝土的粘結滑移關系以及裂縫的發生與擴展等方面的研究均取得了很大的進展。有限元方法作為一個強有力的數值分析工具可以對結構自開始受荷載直到破壞的全過程進行分析,獲得不同階段的受力狀態,在鋼筋混凝土結構的非線性分析中起到了越來越大的作用[3]。ADINA 軟件是基于有限元技術的大型通用分析仿真平臺,其非線性問題求解功能強大,能夠用于模擬鋼筋混凝土結構的受力分析、應力、變形和位移,它能夠幫助改進甚至取代一部分試驗,降低試驗研究的高成本。本文詳細介紹了ADINA 中的混凝土本構模型及破壞準則,并對一個四樁鋼筋混凝土厚承臺進行了非線性有限元分析,探討了其對鋼筋混凝土結構進行非線性分析的可行性。
2. 材料模型
ADINA 中提供了專門用于混凝土結構分析的混凝土材料模型[4](concrete model),它是基于增量式正交本構理論的混凝土材料模型,理論基礎是非線性彈性理論和斷裂力學理論。這種本構模型可以模擬混凝土材料最基本的材料屬性,例如當主應力達到最大允許值時,材料拉壞;在較高壓力作用下壓潰,材料壓潰后具有應變軟化的特性,直到極限應變,材料完全破壞等。是真正面向工程的簡單實用的一種混凝土材料模型。
2.1 混凝土單軸應力應變關系



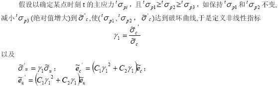
2.2 混凝土多軸應力應變曲線
在實際的工程分析上,進行三軸實驗是很難的,于是人們試著用單軸的應力應變曲線的變換形式來表示混凝土在多軸應力狀態下的應力應變關系。Peckhold 和Darwin 以及Ottosen等做出了很大的貢獻,引入了非線性指標以及等效應力應變的概念,借助這個概念我們就可以將單軸的應力應變曲線引申到多軸應力的情況下。

式中,C1 和C2 是輸入參數,正常情況下, C1=1.4, C2=0.4。將上述帶撇號的量替換式(2.3)中相應的不帶撇號的量,即得到考慮多軸應力情況的應力應變曲線,如圖2 所示。

2.3 混凝土破壞準則
ADINA 中使用了三維受拉破壞包絡線、二維破壞包絡線、三軸壓縮破壞包絡面。其中,二維破壞包絡線、三軸壓縮破壞包絡面曲線如圖3、圖4 所示。


2.4 鋼筋模型
鋼筋是由AIDNA 提供專用的Rebar 單元模擬,Rebar 單元的優點是不需要用戶劃分單元,而是由AUI 前處理自動生成鋼筋單元,同時用戶可以方便指定不同的Rebar Line 的截面特性。ADINA 中鋼筋模型為雙線性塑性材料模型,這種模型是對理想彈塑性模型的修正,認為鋼筋屈服后,仍具有一較小的彈性模量,以此來考慮鋼筋的硬化性能。
3. 算例分析
一四樁鋼筋混凝土厚承臺, 尺寸為700mm×700mm×400mm , 柱截面尺寸為150mm×150mm。為避免柱下局部承壓面過早破壞,在柱下20mm 處設置250 mm×250mm 鋼筋網片。承臺底部縱向鋼筋集中布置在樁徑范圍內,鋼筋的保護層厚度為30mm。為研究承臺的受力及破壞特征,就要保證柱、樁不先于承臺破壞,設定樁柱的材料為彈性,不考慮其塑性破壞。混凝土強度等級為C30。承臺平面圖及配筋圖如圖5、6 所示。


圖8 所示為承臺模型圖,模型共2745 個節點,3246 個單元。劃分整個模型單元尺寸為0.05。為求結構的極限承載力,須緩慢加載。修改時間函數,輸入0 時刻位移的擴大因子為0,1000 時刻位移的擴大因子為1。時間步為1000,時間步長為1。選擇位移收斂準則,輸入收斂精度為0.001,參考位移為1。

4. 計算結果分析
4.1 承臺底部中心荷載-撓度曲線
一般的混凝土梁、板考慮彎曲或剪切的破壞形態研究中,常見的荷載-度曲線如圖9 所示。本文中承臺的荷載-撓度曲線如圖10 所示。

上面兩個圖比較看出,受彎構件的荷載-撓度曲線有三個轉折點,而承臺的荷載撓度曲線只有一個轉折點,更接近沖切破壞的荷載-撓度曲線。從圖10 可看出承臺的荷載撓度曲線成雙折線,承臺開裂之前,剛度很大,底部中點位移很小,開裂以后豎向位移比荷載增長快,而且由于配置了縱向鋼筋,荷載仍有較大幅度的增長。
受彎構件的荷載-撓度曲線后期變化比較平緩,甚至有一定的下降段,表明受彎構件具有相當的延性和后期變形能力,足以形成塑性鉸和塑性鉸線。承臺的荷載-撓度曲線比較陡,沒有明顯的水平段和下降段,表明承臺的延性較差,后期變形能力不足,根本不可能形成塑性鉸和塑性鉸線,所以厚承臺不能用塑性鉸線理論進行分析。
4.2 裂縫分析
荷載加到373.5kN 時,承臺各個側面都形成豎向裂縫,隨著荷載的加大,豎向裂縫迅速向上發展,荷載加到475.875kN 時出現斜裂縫,豎向裂縫繼續向上發展,斜裂縫也迅速向上延伸與豎向裂縫相交,成為主裂縫,圖11 所示為承臺破壞時側面的裂縫圖。破壞荷載為1048kN。

4.3 鋼筋荷載-軸力曲線圖
圖12 所示為沿相同方向布置的縱筋中點的荷載-軸力圖,圖13 所示為同一根縱筋樁邊、中心處的荷載-軸力圖,節點編號如圖6 所示。
由縱向鋼筋荷載-軸力圖可知其曲線分為兩個階段:從開始到極限荷載的40%時承臺開裂,曲線比較平緩,鋼筋軸力很小,約為極限荷載時鋼筋軸力的5%,說明加荷初期,承臺的變形很小,外荷載主要由混凝土承擔。裂縫出現以后,鋼筋承受拉力的作用增強,鋼筋應力增長速度明顯大于荷載增長的速度。
由圖12 分析可知,沿相同方向布置的縱筋,中心部位的軸力基本一致。由圖13可知承臺開裂前同一縱筋中點處的軸力為樁邊軸力的2 倍,開裂后,鋼筋的軸力發生變化,但一直保持開裂時的軸力差,以相同的速度增長。表明縱筋受力均勻,其作用類似拉桿。


5. 結論
(1) 本文中所建模型是參照文獻(1)中的驗模型,目的是將試驗結果與有限元計算結果比較。文獻(1)中四樁厚承臺試驗得出的開裂荷載為的開裂荷載為373.5kN,極限承載力為1148kN。本文計算的開裂荷載比試驗所得開裂荷載小,這是因為試驗是承臺出現的微小裂縫肉眼是看不見的,而有限元中裂縫是放大了可以看出來的。但本文計算出的承臺的荷載-撓度曲線、裂縫的分布方式、縱筋的荷載-軸力曲線與試驗結果基本一致。表明用ADINA 進行鋼筋混凝土非線性有限元分析能滿足工程需要。
(2) 承臺底部中心的荷載-撓度曲線只有一個轉折點,曲線形狀更接近沖切破壞的荷載-撓度曲線。表明承臺的延性較差,后期變形能力不足,不可能形成塑性鉸和塑性鉸線。所以厚承臺不能用塑性鉸線理論進行分析。
(3) 通過分析縱筋的荷載-軸力圖可知,布置于樁頂區域的縱筋,其作用類似拉桿。當承臺出現裂縫時,縱筋起到銷栓作用,可抑制承臺出現更大的裂縫,對提高承臺的極限承載力起很大的作用。
參考文獻
[1] 童敏.鋼筋混凝土厚承臺傳力機理試驗研究和理論分析 [D].武漢:武漢理工大學,2004.
[2] Ngo D, Scordelis A C. Finite element analysis of reinforced concrete.J of ACI, 64(12): 411~416,1972.
[3] 沈聚敏, 王傳志, 江見鯨.鋼筋混凝土有限元與板殼極限分析[M].北京: 清華大學出版社, 1993.
[4] ADINA 公司.ADINA manual.
作者:河海大學土木工程學院 凌海蓉
江蘇雷威建設工程有限公司 林金強
















