關鍵詞:水泥;石膏;粉磨;混凝土;坍落度;擴展度
Abstract:The cement with different specific surlace area were prepared in diferent grinding device by adding variable gypsum into the same kind of clinker,then the cement was grinded to prepare the same class pumped concrete under diferent temperature.The slump and extension of concrete of initial, lh,2h and its compressive strength of 3d, 7d ,28d were determined,SO the efect of cement admixed with different gypsum on performance of concrete was discussed based on above.
Key words:cement;gypsum;grinding;concrete;slump;extension
摻不同品種石膏、不同工藝、不同設備生產的水泥在性能上存在的差異直接影響著混凝土的工作性能和力學性能。本文試驗用摻有不同石膏的水泥配制成同等級的混凝土,研究水泥對混凝土工作性能和力學性能的影響。
1 試驗材料、設備和方法
1.1 材料
P•0 42.5水泥;粒化高爐礦渣; Ⅱ級粉煤灰;FDN系列泵送專用劑;碎石:5~20mm連續級配;砂為普通渠河砂:Dmax <3mm,細度模數為0.96;石膏:硬石膏s,粒狀脫硫石膏L,粉狀脫硫石膏F。各材料有關數據見表1和表2。


2.4m×13m帶旋風選粉機球磨機; 3.2m×1lm 帶O—Sepa高效選粉機球磨, 500mm×500ram試驗小磨和混凝土中心實驗室的相關設備。
1.3 方法
1)將水泥配制成C40混凝土。每m?;炷僚浔仍O計:水泥420kg,砂440kg,碎石1 320kg,粉煤灰50kg。試驗是通過固定混凝土水灰比或初始擴展度的方法來操作的(對于流動混凝± 而言,坍落度已經不是一個反映其工作性能的敏感指標,用擴展度的大小及其經時損失值來評定其工作性能更為合適)。其中,表3是通過調整混凝土的用水量,使流動混凝土具有2003.No.10相近的初始擴展度,表4~表6是固定水灰比。
2)將碎石、砂和水泥加入攪拌機攪拌30s,再加水和外加劑溶液攪拌120s,立刻進行坍落度和擴展度的測定;同時用!OOmm×100ram x 100_ram的試模成型3組,在室溫(20±5)℃ 的環境中36h后脫模,再置于(20±3)℃ ,相對濕度>90% 的養護室中養護,測定其3d、7d和28d的抗壓強度。
3)混凝土坍落度、強度的測定分別按GBJ80—85和GB 81—85進行,擴展度的測定取2條互相垂直的直徑的平均值。
2 主要試驗數據
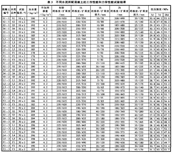
混凝土試驗結果見表3。

3.1 石膏的影響
在相同的條件下不同形態石膏的溶解度和溶解速度是不同的,其調凝效果也就不一樣。從表2可以看出,在相同條件下,摻不同石膏的水泥標準稠度用水量表現為S>L>F,膠砂流動度表現為F>L>S,而強度表現為S>L>F,如表2中的水泥(S4,L4,F1)等。我們通過外加劑溶液中石膏的溶解度試驗發現:FDN系列外加劑對不同石膏的溶解度影響程度是不同的,在2O℃ 摻1.O% 外加劑的溶液中,硬石膏S的溶解度比不摻外加劑的溶液中的溶解度提高了5% ;石膏L提高了9% ;而石膏F提高了20% 。不同石膏的水泥配制的混凝土工作性能不同,下面分2種情況討論。
1)在混凝土擴展度相近的條件下,在粉磨設備相同、比表面積相近及試驗溫度相同的情況下3種石膏的水泥所配制混凝土的水灰比均表現為S>L>F,也就是說水泥F和L對混凝土起到了一定的“減水”作用,如表3中混凝土(s4—2,L4—2,F1—2)、(s5—2,L5—2,F2—2)等,而且摻有F和L的水泥配制的混凝土粘聚性更好。盡管在相同條件下F和L的水泥28d強度均小于S,但是混凝土的28d強度卻相差不大,甚至水泥F的混凝土強度會超過水泥S的混凝土,如表3中混凝土(S1—
2,u 一2,Fl一2)、(s5—2,L5—2,F2—2)、(S1—3,L1—3,F1—3)等。其主要原因是F和L水泥所配制的混凝土水灰比較小,能很好地抵消因水泥強度不足所帶來的負面影響,這一點充分體現了水泥F應用于流動混凝土時的優越性。
2)在水灰比相同的條件下,不同石膏的水泥所配制的混凝土工作性能損失表現為S>L>F,如表4所示。

3.2 外加劑摻量和水灰比的影響
我們用同一種水泥,通過改變~’t,JJu劑摻量來控制水灰比,在相同擴展度的情況下,外加劑從0;8% ~1.2% 以0.1% 遞增試驗,結果發現:~’t,JJu劑摻量少時,混凝土的水灰比偏大,混凝土有輕微的離析現象,具體表現為混凝土在流動中砂漿從粗集料間隙中流出,擴展邊緣有20~30mm寬的砂漿圓環帶,粗集料有輕微蓬集現象,混凝土的坍落度偏小,強度偏低,但是其工作性能損失相對要小一些;當~一k-hn劑摻量較大時,混凝土水灰比較小,粘聚性好,坍落度較大,強度較高,但是混凝土的工作性能損失相對大一些。
3.3 水泥比表面積的影響
通過試驗數據可以得出:在其它相同的條件下,隨著比表面積的提高,3種石膏的水泥標準稠度用水量和膠砂流動性能均有不同程度的增加,如表2中水泥(S1,S2)、(L1,L2)以及(F1,F2)等組。同時,無論是在相近擴展度或相同水灰比的條件下,摻同種石膏的水泥比表面積的增加均會導致混凝土的工作性能損失增大,特別是在試驗溫度稍高的條件下更加明顯,如表3中的混凝土(S1—2,S2—2)、(L1—2,L2—2)、(F1—2,F2—2)等組及表5。
但摻不同石膏的水泥隨著比表面積的提高其所配制的混凝土在工作性能損失量增加值卻要分2種情況:
i)在相同水灰比條件下,比表面積相近的水泥配制的混凝土工作性能損失量表現為S>L>F,而且隨著水泥比表面積同等程度的提高混凝土的工作性能損失增加值也呈現為S>L>F的趨勢,如表5中所示。這主要是因為隨水泥比表面積增加,水泥中的石膏顆粒粒徑也變小,而3種石膏的易磨性為F>L>S,由于選擇性磨細作用,在水泥比表面積相近的情況下,水泥中石膏顆粒粒徑應為S>L>F。因此,3種水泥中石膏F的粒徑最小,其溶解速度也相應更快,能更好地緩解因水泥比表面積增加所帶來的水化速度加快、混凝土工作性能損失增加的負作用。

2)在相近的擴展度的條件下,混凝土的工作性能損失量也表現為S> L>F,但混凝土的工作性能損失增加值可比性不強,這主要是因為混凝土的用水量不同造成的。試驗還發現:水泥比表面積增加,混凝土保水性和粘聚性能更加良好,在擴展度相近的情況下,混凝土的坍落度一般要大5~15mm, 同時水泥比表面積的增加,并未使混凝土的用水量明顯增加。相反,i:h于水泥9⋯R,t強度的增加,混凝土結構的改善,使混凝土的28d強度明顯增加,如表3中混凝土(S1—1.S2一i)、(s4—1,s5—1)、(S1—2,S2—2)、(S4—2,S5—2)等,從而可以減少水泥用量。我們通過對比試驗發現: 當水泥的比表面積由340m /kg提高到380m /kg時,可將外加劑摻量提高0.1% ,水泥用量減少8% ,用等量的Ⅱ級粉煤灰代替水泥,在保證相近即 展發明殺件卜,混凝土的水灰比和工作性能損失無明顯的增加,混凝土的28d強度能保持基本不變.且配制的混凝土在粘聚性和保水性方面有更大的優勢。
3.4 溫度的影響
隨看試驗溫度的增加,混凝土的工作性能損失會越來越大,如表3中的混凝土(S1—1,S1—2,S1—3)、(Ll一1,L1—2,L1—3)等組。試驗中還發現:在相同的粉磨設備和比表面積條件,將3種石膏的水泥配制成水灰比相同的混凝土時,各溫度下混凝土工作性再邑預矢均表現為S>L>F,但隨著溫度的升高,混凝土的工作性能損失增加值卻呈現S—L>F的趨勢,如表6所示。從這點看,溫度對石膏S和L的影響相對要大一些,而石膏F對溫度的適應性要強一些,這與3種石膏的溶解度和溶解速度隨溫度的升高而增加程度個同有亙硬朗夫糸。在生產中,由于石膏L和F遇水后易成糊狀,給生產帶來諸多不便,因此可以考慮在溫度低的季節使用石膏S,而在溫度高的季節使用石膏F。

表6 不同溫度下混凝土lh擴展度損失r W/C:0.45)I水泥品種 S4 L4 Fl 1l試驗溫度/℃ l0±2 20±2 30±2 】0±2 20+2 o"4-’ 1n"4-’ ’n+’ 3O±2lIl lh擴展度 損失/ ll0 l70 280 40 80 200 40 40 l20試驗中我們也發現:在達到相近的擴展度的條件下,低溫下配制的混凝土在粘聚性和保水性方面較溫度高時配制的要稍差一些,因此在保證混凝土可泵性的前提下,冬季可將混凝土的初始坍落度控制小一些,以(-1N vN±2O)~111~111為宜;而夏天以(2l0±20)mm為宜。
3.5 粉磨工藝和設備的影響
不同的粉磨工藝和設備以及研磨體級配,其磨制的水泥顆粒的均勻性系數凡值和特征粒徑 值以及球形度都是有差異的。從試驗結果來看,在石膏和2003.No.10比表面積相同的條件下,試驗小磨粉磨的水泥標準稠度用水量最小,而 2.4m X 13m球磨機磨制的水泥標準稠度用水量最大,如表2中的水泥(S1,S3,S4)、(Ll,L3,L4)。試驗還發現:將熟料和石膏按比例混合粉磨,再將礦渣單獨粉磨,然后將兩者按比例混合均勻制成水泥F3,其強度兒LIp~仳EI合粉磨的水泥強度更高,所配制的混凝土流動性、粘聚性和保水性更好、需水量減少、28d強度更高,如表3中(F2—1,F3—1)、(F2—2,F3—2)、(F2—3,F3—3)等組。這是因為分別粉磨工藝能很好地控制礦渣顆粒和熟料顆粒的細度,使水泥中礦渣顆粒細度更小,其形狀也越接近圓球,顆粒表面更加光滑,再加上礦渣顆粒對水泥產生的分散效應所致。在混合粉磨生產中,我們經常發現摻礦渣的水泥較純硅酸鹽水泥其標準稠度用水量增加、膠砂流度降低的情況,這主要也是由于混合粉磨工藝導致礦渣顆粒和熟料顆粒匹配不當造成的。因此,在實際生產中,可以通過改變選粉機轉速來改變分離粒徑,以達到改變 值的目的;也可以通過改變系統風量來改變選粉濃度, 以達到改變分離效率和凡信的目的。而工藝上,在有條件的情況下可以實行礦渣和熟料分別粉磨的方法,控制礦渣顆粒細度與熟料顆粒相近或比熟料顆粒稍粗,且同時控制好水泥的總體細度,這樣有利于提高水泥的工作性能和力學性能。
4 結論
I)摻有不同石膏的水泥對流動混凝土的性能有較大的影響摻粉狀拖硫石膏F的水泥應用到流動混凝土中,無論是對溫度、比表面積和外加劑均比其它2種石膏有更好的適應性。
2)不同粉磨工藝磨制的水泥性能上也存在差異,采取礦渣與熟料分別粉磨的工藝,其水泥所配制的流動混凝土在工作性能和力學性能方面會更顯優勢。
參考文獻:
【I】喬齡山.水泥顆粒特性參數及其對水泥和混凝土性能的影響
【J】水泥,2001,(1o):I一8.
【2】張永娟,張 雄.水泥一礦渣體系顆粒群配伍與其膠砂性能的關系研究【J].水泥,2003,(2):19—23.
【3】張承志,王愛勤,邵惠.建筑混凝土【M].北京:化學工業出版社.2001.
















